网站首页  词典首页


请输入您要查询的字词:

 

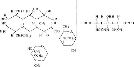
字词 红霉素葡庚糖酯
类别 中英文字词句释义及详细解析
释义 红霉素葡庚糖酯

C37H67NO13·C7H14O8=960.12

CAS-304-63-2

CAS-114-07-8(erythromycin)

红霉素单葡庚糖酸盐。

Erythromycin monoglucoheptonate(salt).

红霉素葡庚糖酸(1∶1)盐。

Erythromycin glucoheptonate(1∶1)(salt).

抗菌药。

葡庚红霉素。

Erythromycin Gluceptate,Ilofycin Glucepfafe.

USAN,USP.

随便看

 

离鸟网收录3541549条中英文词条,其功能与新华字典、现代汉语词典、牛津高阶英汉词典等各类中英文词典类似,基本涵盖了全部常用中英文字词句的读音、释义及用法,是语言学习和写作的有利工具。

 

Copyright © 2004-2024 vtrois.com All Rights Reserved
更新时间:2026/4/18 13:33:25