网站首页  词典首页


请输入您要查询的字词:

 

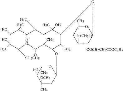
字词 红霉素琥珀酸乙酯[中]
类别 中英文字词句释义及详细解析
释义 红霉素琥珀酸乙酯[中]

C43H75NO16=862.06

CAS-41342-53-4

红霉素-2′-(乙基丁二酸酯)。

Erythromycin-2′-(ethyl butanedioate).

抗生素类药。用于青霉素耐药的葡萄球菌感染,也可用于支原体肺炎及白喉带菌者。

红霉素琥珀酸酯。

Erythromycin Ethylsuccinate,E.E.S.,Erythrocin Ethyl Succinate.

红霉素琥珀酸乙酯片,红霉素琥珀酸乙酯干糖浆红霉素琥珀乙酸酯冲剂(小儿消炎灵冲剂)。

USAN,USP,MI.

随便看

 

离鸟网收录3541549条中英文词条,其功能与新华字典、现代汉语词典、牛津高阶英汉词典等各类中英文词典类似,基本涵盖了全部常用中英文字词句的读音、释义及用法,是语言学习和写作的有利工具。

 

Copyright © 2004-2024 vtrois.com All Rights Reserved
更新时间:2026/4/18 14:29:34