红花鹿蹄草
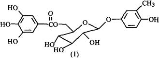
【名称出处】:《长白山植物药志》 【概况】: 基源 为鹿蹄草科鹿蹄草属植物红花鹿蹄草的全草。 原植物 红花鹿蹄草Pyrola incarnata Fisch.ex DC. 历史 为东北地区民间药,近年对茎的化学成份作了分折研究。 形态 多年生常绿草本。 根状茎细长横生,斜升。叶基部簇生,叶柄长3~5mm;叶片圆形或卵状椭圆形,长宽2~4cm,基部和顶端圆形,边缘全缘或有不明显的缺刻,花葶长10~25cm,有1~3个苞片,苞片宽披针形至狭长圆形,长7~10mm;总状花序有花7~15朵,花深蔷薇色至红花,宽钟形,直径12~15mm;花梗上有苞片1枚,披针形,长于花梗;萼片三角状宽披针形,顶端浙尖,长约为花瓣的二分之一;花柱长,外露,有柱头盘。 蒴果扁圆球形,直径7~8mm。(图见《中国高等植物图鉴》.第3册.14页.图3982) 生境与分布 生于山林中,分布于中国东北及河北、内蒙、山西和新疆。 原苏联、蒙古、朝鲜和日本也有分布。。 【化学】: 含具有利尿作用的单托品酯(Monotropein)[1],在乙酸乙酯提取部分,含有的化合物,有2-O-金丝桃甙没食子酸酯(2-O-Hyperin-qallate)和6-O-熊果酚甙没食子酸酯(6-O-Galloylhomoarbrytin)(1),为一个新的化合物[2]。  参考文献 [1] CA 1965;62:12988d [2] Phytochemistry 1989;28(2):607 【药性】: 东北、内蒙古、河北个别地区也作鹿蹄草用。 |