网站首页  词典首页


请输入您要查询的字词:

 

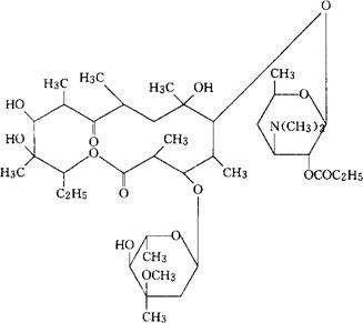
字词 红丝菌素碳酸乙酯[台]
类别 中英文字词句释义及详细解析
释义 红丝菌素碳酸乙酯[台]

C40H71NO15=806.01

红霉素-2′-碳酸乙酯。

Erythromycin-2′-ethylcarbonate

抗生素类药。用于溶血性链球菌、肺炎球菌等引起的肺炎、败血症、急性乳腺炎及骨髓炎等。

红霉素碳酸乙酯。

Erythromyciin Ethylcarbonate.

红丝菌素碳酸乙酯悬液。

USAN,USP.

随便看

 

离鸟网收录3541549条中英文词条,其功能与新华字典、现代汉语词典、牛津高阶英汉词典等各类中英文词典类似,基本涵盖了全部常用中英文字词句的读音、释义及用法,是语言学习和写作的有利工具。

 

Copyright © 2004-2024 vtrois.com All Rights Reserved
更新时间:2026/4/18 22:58:36