网站首页  词典首页


请输入您要查询的字词:

 

字词 紫菀
类别 中英文字词句释义及详细解析
释义 紫菀

【名称出处】:《本经》

【概况】:

异名 青菀(《吴普本草》),紫蒨(《别录》),返魂草根、夜牵牛(《斗门方》),紫菀茸(《本草述》),驴耳朵菜(辽宁),青牛舌头花(河北),呼荣一温都苏(蒙族名)。

基源 为菊科紫菀属植物紫菀的根状茎。

原植物 紫菀Aster tataricus L.f.

历史 紫菀为常用中药,《本经》列为上品,从一些本草著述中知道,古代紫菀原植物不止一种,《图经本草》所述,仅花的颜色就有黄、紫、白三种,《证类本草》所附图,成州紫菀、解州紫菀和泗州紫菀的植物形态也不相同,成州今甘肃省成县,所产紫菀原植物基生叶丛生,花紫色,与现商品药材紫菀原植物相近,《中国药典1963年版》以来各版,以及近代一些医药书籍都以本种为紫菀。

而解州(今山西省运城县境内)所产紫菀原植物头状花序再组成总状花序,花黄色,应为橐吾属(Ligularia)植物与现在商品药材山紫菀或土紫菀相近,《中药志》1982年第2版已收载,称山紫菀,详见“山紫菀”条。

形态 多年生草本,高30~150cm。

根状茎短。须根多数。茎直立,粗壮。基生叶莲座状及茎下部叶有长柄;叶片匙状长圆形或匙状披针形,长20~50cm,宽3~13cm,花时常凋萎;茎中部叶柄长5~8cm,叶片与基生叶和茎下部叶同形,较小,长8~12cm,宽2~6cm,顶端渐尖,基部渐狭,下延成柄翼,边缘有锯齿或近全缘,两面具短硬毛,中脉粗壮,侧脉6~10对;上部叶渐小,近无柄,长圆形或披针形,全缘,两面被短硬毛。头状花序直径10~25mm,多数在茎顶组成复伞房状,总花梗细长,密被硬毛;总苞半球形;总苞片3层,覆瓦状排列,外层的线状披针形,长3~3.5mm,宽约1mm,中、内层线形,长6~8mm,宽约1mm,边缘膜质,顶端及边缘常带紫色;缘花舌状,花15~18mm,宽3~4mm,淡紫色至深蓝紫色;中央花管状,长约7mm,黄色,顶端5裂。瘦果倒卵形,长2.5~3mm,宽约1mrn,稍扁,紫褐色,两面各有1纵肋,被疏粗毛;冠毛糙毛状,长约6mm,污白色或带红色。花果期7~10月。(图见《中国高等植物图鉴》.第4册.424页.图6262)

生境与分布 生于山坡、河边、草甸。

分布于中国东北、华北、西北等省区。朝鲜、日本、原苏联西伯利亚地区东部。

【生药】:

栽培 宜温暖湿润,能耐寒,耐涝。

对土壤选择不严,除盐碱、干旱砂土外均可种植。用根茎繁殖,在3月中、下旬或9月下旬~10月上旬栽种。结合收获,将粗壮、紫红色的根状茎,切成7cm左右长小段,每段有芽2~3个,按株行距15~20×33cm开沟条栽,深3~5cm,每亩用种量20kg。栽后覆土、浇水,保持土壤湿润。

也可在春季进行分株繁殖,将母株掰分成小蔸,进行穴栽。生长期中注意浇水,结合中耕除草,追肥2~3次。

抽薹开花时,应及时剪除花茎,以利根部发育。病害有根腐病,用50%多菌灵可湿性粉剂1000倍液喷雾;黑斑病,用50%退菌特可湿性粉剂800倍液喷射。虫害蛴螬、地老虎,用90%晶体敌百虫1000倍液浇灌或人工诱杀。

采集 秋季十月下旬,当地上部分枯萎后即可收获,或于翌年春季发芽前采收,挖取根及根状茎,除去茎叶及泥土,稍晾一、二天后,将根编成辫状,干燥即得。药材主产于河北、安徽。

鉴别

性状 根状茎不规则块状,长2~6cm,直径1~3cm,顶端有多数茎基及叶柄残痕,底部常留有未除尽的直根,纤维性,质稍硬。

周围簇生多数细根,长3~15cm,直径1~3mm,表面紫红色或灰红色,具纵皱纹,常编成辫状;质柔软,断面灰白色或灰棕色,边缘带紫色。气微香,味微苦,嚼后微有麻辣感。药材以根长、色紫、质柔韧者为佳。

显微 根横切面:表皮细胞椭圆形,壁微木化,细胞含紫红色色素;下皮为一列木栓化细胞,形状与表皮细胞相似,外壁略增厚。皮层宽广,约由20列薄壁细胞组成,有小油滴散在,紧靠内皮层处有小形油室4~6个,常与韧皮部相对;内皮层明显。中柱内初生木质部为4~6原型,韧皮部束位于木质部弧角间,中心通常有髓。

(图见《中药志》.第2册.第2版.第200页.图160)粉末红棕色。 ❶ 用水合氯醛液装置(不加热),可见薄壁细胞中含类圆形菊糖团块,现放射状线纹,久置渐溶化。
❷ 上皮细胞表皮观略呈长方形,垂周壁稍厚,细波状弯曲;横断面观类方形。
❸ 石细胞类长方形、类圆形或圆三角形,壁厚,层纹及孔沟明显,有的胞腔内含草酸钙簇晶或淡黄棕色物。
❹ 厚壁细胞长条形,壁厚2~10μm非木化,纹孔较多,有的排列成纵行。
❺ 分泌道碎片纵断面观分泌细胞类长方形,细胞及管道内均含黄棕色或红棕色分泌物;横断面观偶见,分泌细胞略扁平。

❼ 木纤维较长,有的末端尾尖,木化,具单斜纹孔或相交成人字形。
❽ 主为网纹导管,亦有螺纹及具缘纹孔导管。

(图见徐国钧《中药材粉末显微鉴定》.155页,图71)

加工炮制 蜜紫菀 取炼蜜用适量开水稀释后,加入净紫菀片及段,拌匀,闷透,用文火加热,炒至棕褐色,不粘手为度,取出放凉。每紫菀片100kg,用炼蜜25kg。

贮藏 置阴凉干燥处;蜜紫菀,密闭,置阴凉干燥处。。

【化学】:

根中含紫菀酮(Shionone)、表木栓醇(Epifriedelinol)、植甾醇葡糖甙(Phytosterol glucoside)混合物、芹菜酰-(1→6)-葡糖甙[Apiosyl-(1→6)-glucoside];L-(-)-内樟脑醇(Endo-camphanol)[1]

另含祛痰有效化合物丁基-D-核糖甙(Butyl-D-ribuloside)[2]

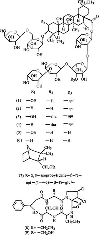
新近从根得紫菀甙A、B(Shionoside A、B)[3];紫菀皂甙A、B、C、D[4]、E、F[5](Aster saponinA、B、C、D、E、F)(结构式1~6)。

从地上部得紫菀皂甙Ha、Hb、Hc、Hd(Aster saponin Ha、Hb、Hc、Hd)和极臭南瓜甙A(Foetidissimoside A)即黄山梅皂甙Ⅰ(Kirengeshomasaponin Ⅰ)[6]

另从紫菀根得到一新单萜甙紫菀甙C(Shionoside C)(7),结构为Lendo-坎烷醇-8-O-3,5-异丙叉基-β-D-呋喃芹菜糖基-(1-6)-β-D-吡喃葡萄糖甙(L-endo-8-O-3,5-isopropylidene-β-D-apiofuranosyl-(1→6)-β-D-glu copyranoside)[7]

还从根得一化合物紫菀素(Asterin)(8)及已知物环氯亭(Cyclochlorotine)(9)均为环五肽结构[8]。还得到紫菀亭A、B、C(Astin A、B、C)[9]

参考文献 [1] 国外医学中医中药分册 1988;10(1):49 [2] 中国药学文摘 1985;2(6):12 [3] Chem Pharm Bull 1988;36(2):571 [4] Chem Pharm Bull 1989;37(8):1977 [5] Chem Pharm Bull 1990;38(3):783 [6] Chem Pharm Bull 1990;38(5):1153 [7] 植物学报 1993;35(4):311 [8] Tetrahedron Lett 1993;34(8):1291 [9] Chem Pharm Bull 1993;41(5):992。【药理】:

❶ 祛痰、镇咳作用 紫菀乙醇提取物15g/kg ig明显拮抗二氧化硫诱发的小鼠咳嗽,镇咳率为53%[1]

紫菀水煎剂15g/kg ig对小鼠氨气致咳未表现明显的镇咳作用[2]。水煎剂10g/kg ig对小鼠、1g/kg对麻醉兔ig均有显著祛痰作用[2,3]

❷ 抗菌作用 体外试验对大肠杆菌、宋内氏痢疾杆菌、变形杆菌、伤寒杆菌、副伤寒杆菌、绿脓杆菌及霍乱弧菌等有一定抑制作用[4]
❸ 抗癌作用 紫菀正丁醇提取物astinA(0.5mg/kg)、B(0.5mg/kg)和C(5mg/kg)对小鼠腹水型肉瘤180有显著抑制作用[5]

表无羁萜醇对艾氏腹水癌有一定抗癌作用[6]

参考文献 [1] 中草药 1981;12(3):44 [2] 沈阳药学院学报 1987;4(2):135 [3] 中华医学杂志 1956;42(10):959 [4] Chmese Med J 1950;68:307 [5] Chem Pharm Bull 1993;41(5):992 [6] 医学中央杂志(日) 1967;224:505

【药性】:

性味 ❶ 《本经》:“苦,温。”
❷ 《别录》:“辛。”
❸ 《药性论》:“苦,平。”
❹ 《本草通玄》:“辛、甘,微温。”
❺ 《全国中草药汇编》:“苦,温。”
❻ 《新华本草纲要》:“辛、苦,温。”

归经 入肺经。 ❶ 《雷公炮制药性解》:“入心、肺二经。”
❷ 《本草经疏》:“入手太阴,兼入足阳明。”

功效 散寒润肺,化痰,止咳,下气。

主治 风寒咳嗽气喘,虚劳咳吐脓血,喉痹,小便不利。 ❶ 《本经》:“主咳逆上气,胸中寒热结气,去蛊毒,痿,安五藏。”
❷ 《别录》:“疗咳唾脓血,止喘悸,五劳体虚,补不足,小儿惊痫。”
❸ 《药性论》:“补虚下气。治胸肋逆气,劳气虚热。


❹ 《唐本草》:“治气喘,阴痿。”
❺ 《日华子本草》:“调中及肺痿吐血,消痰止咳。”
❻ 《本草衍义》:“益肺气。”
❼ 王好古:“主息贲。”
❽ 宁原《食鉴本草》:“主肺经虚热,开喉痹,取恶涎。”
❾ 《本草从新》:“专治血痰,为血劳圣药。又能通利小肠。”
❿ 《本草再新》:“润肺下气,寒痰及虚喘者宜之。”

用法用量 内服:煎汤,1.6~10g,或入丸、散。

使用注意 有实热者忌服。

❶ 《本草经集注》:“款冬为使。恶天雄、瞿麦、雷丸、远志。

胃茵陈蒿。”
❷ 《唐本草》:“恶藁木。”
❸ 《本草正》:“劳伤肺肾,水亏金燥而咳喘失血者非所宜。”。

【临床应用】:

配伍应用 ❶ 配橘红,治咳嗽吐痰、胸闷不舒、寒热不明显之咳嗽。

❷ 配苏子,治咳嗽有痰、气逆、胸膈满闷。
❸ 配款冬花,治气逆咳嗽痰多、慢性支气管炎等症。

❹ 配百部,治外感咳嗽、或久咳不止、痰中带血等症。
❺ 配茜根、治吐血、咯血、嗽血。
❻ 配五味子,治咳嗽痰多、气喘自汗等症。
❼ 配茯苓、通草、治小便不利、尿少短赤等症。

❽ 配百部、白前,治痰阻于肺之咳嗽、咯痰不爽等症。
❾ 配荆芥、白前、桔梗,治感冒咳嗽痰多。
❿ 配知母、麦冬、五味子,治阴虚咳嗽、咯血。 ⑾配川贝母、知母、阿胶,治肺阴不足、痰火壅滞咳嗽咯血或痰中带血等症。 ⑿配天冬、黄芩、桑白皮,治慢性咳嗽而偏于劳热、甚至咳吐脓血。 ⒀配桔梗、甘草、杏仁,治风寒咳嗽、支气管炎。

⒁配杏仁、细辛、款冬花,治小儿咳逆上气。喉中有声、喉中不通利。

⒂配麻黄、款冬花、杏仁、细辛,治冷哮喘咳胸闷、倚息不得平卧者。

方选和验方 ❶ 紫菀散(《太平圣惠方》)治伤寒后肺痿劳嗽,唾脓血腥臭,连连不止,渐将羸瘦:紫菀30g,桔梗45g(去芦头),天门冬30g(去心),贝母30g(煨令微黄),百合1g,知母1g,生干地黄45g。

上药捣筛为散,每服12g,以水120ml,煎至80ml,去滓,温服。
❷ 紫菀散(《太平圣惠方》)治产后风虚,遍身浮肿,上气喘咳,胁腹满闷,不思饮食,四肢少力:紫菀30g,汉防己、桂心、细辛、赤茯苓、桑白皮、大腹皮、枳壳(麸炒)、炒葶苈子、木香、炙甘草各15g,槟榔1g。为粗末,每服9g,加生姜1片,水煎服。
❸ 紫菀散(《太平圣惠方》)治肺脏壅热,心胸闷,咳逆,食少,大肠不利:紫菀、桔梗、大黄(微炒)、朴硝、木通各30g,茅根60g,甘草(微炒赤)15g。

为末,每服9g,水煎不拘时服。

❹ 紫菀散(《太平圣惠方》)治小儿咳嗽:炙紫菀、贝母(煨微黄)各15g,款冬花0.3g。为末,每服1g,清粥饮调下,每日3~4次。
❺ 紫菀汤(《伤寒保命集》)治妊娠咳嗽不止,胎不安:紫菀30g,桔梗15g,甘草、杏仁、桑白皮各7.5g,天门冬30g。

上切细,每服9g,竹茹1块,水煎去滓,入蜜15g,再煎2沸,温服。
❻ 紫菀散(《圣济总录》)治小儿咳逆上气,喉中有声,不通利:紫菀30g,杏仁(去皮尖)、细辛、款冬花各0.3g。上4味,捣罗为散,2~3岁儿,每服1g,米饭调下,每日3次。

更量大小加减。

❼ 紫菀丸(《鸡峰普济方》)治吐血,咯血,嗽血:真紫菀、茜根各等份。为细末,炼蜜为丸,如樱桃子大,含化1丸,不以时。
❽ 紫菀丸(《杂病源流犀烛·六淫门》)治肺家郁热而致的咳血:紫菀、五味子各等份。为细末,炼蜜为丸,芡实大,每服1丸,含化。
❾ 紫菀茸汤(《济生方》)治饮食过度,或叫呼走气,或食煎煿邪热伤肺,咳嗽咽痒,痰多唾血,喘急,胸胁痛,不得安卧:紫菀茸、桑叶、款冬花、百合(蒸)、杏仁、阿胶(蛤粉炒)、贝母、炒蒲黄、半夏各30g,犀角、炙甘草、人参各15g。为粗末,每服12g,加生姜5片,水煎服。

❿ 紫菀膏(《张氏医通》)治肺热咳嗽,肌肤灼热,面赤如醉:紫菀茸60g,款冬花30g,杏仁(炒研)、枇杷叶(蜜炙)、木通、桑白皮(蜜炙)、大黄(酒蒸)各15g。熬膏蜜收,每服20~30g,不时噙化。

若久嗽,去杏仁。大黄煎成,加童便。 ⑾海藏紫菀散(《医垒元戎》)治咳唾中有脓血,虚劳证肺痿变痛者:紫菀、人参、知母、桔梗、贝母、甘草(或五味子,或茯苓,或阿胶)各适量。为粗末,水煎服。 ⑿煮肝散(《苏沈良方》)治肝痿脚弱,伤寒,手足萎缩不随:紫菀、桔梗、苍术、芍药各等份。为末,每服12g,羊肝半具,竹刀切,勿犯水,入盐、醋、生姜、酒同煮熟,空腹,食前服,每日3次。

⒀门冬清肺饮(《内外伤辨惑论》)治脾胃虚弱,气促气弱,精神短少,衄血吐血:紫菀茸4.5g,黄芪、白芍药、甘草各3g,人参、麦门冬各1.5g,当归身1g,五味子3个。为粗末,分作2服,水煎食后服。 ⒁太平膏(《类证活人书》)治火炼肺金,气失清化,致干咳烦嗽、痰红咯血,呕血吐血,咽痛喉哑,喉痹,梅核,肺痿等:紫菀、款冬花、杏仁霜各90g,知母、川贝母、茜根、薄荷末各60g,百药煎、粉草、海粉(飞净),各30g,诃子、儿茶各15g。研极细末,炼白蜜和药,不拘时噙化。

⒂止嗽散(《医学心悟》)治慢性咳嗽,尤其寒咳,有痰涎壅塞,咳吐不爽,或痰中带血:紫菀9g,前胡6g,荆芥6g,百部6g,白前6g,桔梗3g,甘草3g。水煎服。

⒃江苏中医 1960;(2):“治百日咳:玉桔梗、荆芥穗、炙紫菀、焙白前、新会红、生甘草、天浆壳、天南竹子、百部各30g。上药加水共煮3次,去渣、存汁,加冰糖90g,白蜜90g,文火煮浓缩,收膏即成。

1岁以内,每服3~5ml,5~6岁,每服5~10ml,6岁以上每服15ml,3小时1次,温开水冲服或炖服。

单方应用 《千金方》:“治妇人卒不得小便:紫菀末,井华水服9g。”。【医药家论述】:

❶ 缪希雍《本草经疏》:“紫菀,观其能开喉痹,取恶涎,则辛散之功烈矣,而其性温,肺病咳逆喘嗽,皆阴虚肺热证也.不宜专用及多用,即用亦须与天门冬、百部、麦冬、桑白皮苦寒之药参用,则无害。”
❷ 李中梓《本草通玄》:“紫菀,辛而不燥,润而不寒,补而不滞。然非独用、多用不能速效,小便不通及弱血者服一两立效。”
❸ 张景岳《本草正》:“紫菀,辛能入肺,若能降气,故治咳嗽上气、痰喘,惟肺实气壅,或火邪刑金而致咳唾脓血者,乃可用之。观陶氏《别录》谓其补不足,治五劳体虚,其亦言之过也。


❹ 贾所学《药品化义》:“紫菀,味甘而带苦,性凉而体润,恰合肺部血分。主治肺焦叶举,久嗽痰中带血,及肺痿,痰喘,消渴,使肺窍有清凉沛泽之功。……用入肝经,凡劳热不足,肝之表病也;蓄热结气,肝之里病也;吐血衄血、肝之逆上也;便血溺血,肝之妄下也;无不奏效。因其体润,善能滋肾,盖肾主二便,以此润大便燥结,利小便短赤,开发阴阳,宣通壅滞,大有神功。

同生地、麦冬入心,宁神养血。

同丹皮、赤芍入胃,清热凉血。

其桑皮为肺中气药,紫菀为肺中血药,宜分别用。”
❺ 张璐《本经逢原》:“紫菀,肺金血分之药,《本经》止咳逆上气,胸中寒热结气,取性疏利肺经血气也。去蛊毒痿躄者,以其辛苦微温,能散结降气,蛊毒自不能留,痿躄由肺热叶焦紫菀专通肺气,使热从溲便去耳。《别录》疗咳唾脓血,大明消痰止渴,皆滋肺经血气之效。《金匮》泽漆汤用以治咳血而脉沉者,咳属肺,脉沉则血分之病也。亦治下痢肺痛,与紫参同功。


❻ 《本草正义》:“紫菀,柔润有余,虽曰苦辛而温,非燥烈可比,专能开泄肺郁,定咳降逆,宣通窒滞,兼疏肺家气血。凡风寒外束肺气壅塞,咳呛不爽,喘促哮吼,及气火燔灼,郁为肺痛,咳吐脓血,痰臭腥秽诸证,无不治之。

而寒饮蟠踞,浊涎胶固,喉中如水鸡声音,尤为相宜。惟其温而不热,润而不燥,所以寒热皆宜,无所避忌。

景岳谓水亏金燥,咳嗽失血者,非其所宜;石顽谓阴虚肺热干咳者忌之,盖恐开泄太过,重伤肺金,又恐辛温之性,或至助火。

要之虚劳作嗽,亦必有浊痰阻塞肺窍,故频频作咳,以求其通,不为开之,咳亦不止,以此温润之品,泄化垢腻,顺调气机,而不伤于正,不偏不燥,又不犯寒凉遏抑、滋腻恋邪等弊,岂非正治?且柔润之质,必不偏热,较之二冬、二母,名为滋阴,而群阴腻滞,阻塞隧道者,相去犹远。惟实火作咳,及肺痈成脓者,则紫菀虽能泄降,微嫌其近于辛温,不可重任,然借为向导,以捣穴犁庭,亦无不可。总之,肺金窒塞,无论为寒为火,皆有非此不开之势。

随便看

 

离鸟网收录3541549条中英文词条,其功能与新华字典、现代汉语词典、牛津高阶英汉词典等各类中英文词典类似,基本涵盖了全部常用中英文字词句的读音、释义及用法,是语言学习和写作的有利工具。

 

Copyright © 2004-2024 vtrois.com All Rights Reserved
更新时间:2026/4/20 13:20:38