网站首页  词典首页


请输入您要查询的字词:

 

字词 索尼地平
类别 中英文字词句释义及详细解析
释义 索尼地平

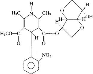
C22H24N2O9=460.44

CAS-95105-77-4

(+)-1,4-二氢-2,6-二甲基-4-(邻-硝基苯)-3,5-吡啶二羧酸甲酯,与1,4∶3,6-二脱水-D-山梨醇生成的5-酯。

(+)-1,4-Dihydro-2,6-dimethyl-4-(o-nitrophenyl)-3,5-pyridinedicarboxylic acid,methyl ester,5-ester with 1,4∶3,6-dianhydro-D-glucitol.

1,4∶3,6-二脱水-D-山梨醇5-[甲基1,4-二氢-2,6-二甲基-4-(2-硝基苯)-3,5-吡啶羧酸酯]。

1,4∶3,6-Dianhydro-D-glucitol 5-[methyl 1,4-dihydro-2,6-dimethyl-4-(2-nitrophenyl)-3,5-pyridinecarboxylate].

5-[1,4-二氢-2,6-二甲基-3-甲氧羰基-4-(2-硝基苯)-5-吡啶基羰基]异山梨醇。

5-[1,4-Dihydro-2,6-dimethyl-3-methoxycarbonyl-4-(2-nitrophenyl)-5-pyridylcarbonyl]isosorbide.

血管扩张剂。

Sornidipine.

INN,USAN.

随便看

 

离鸟网收录3541549条中英文词条,其功能与新华字典、现代汉语词典、牛津高阶英汉词典等各类中英文词典类似,基本涵盖了全部常用中英文字词句的读音、释义及用法,是语言学习和写作的有利工具。

 

Copyright © 2004-2024 vtrois.com All Rights Reserved
更新时间:2026/4/18 10:41:17