网站首页  词典首页


请输入您要查询的字词:

 

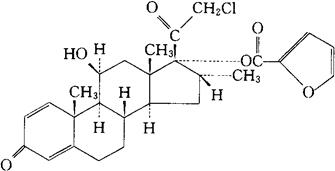
字词 糠酸莫米松
类别 中英文字词句释义及详细解析
释义 糠酸莫米松

C27H30Cl2O6=521.44

CAS-83919-23-7

(11β,16α)-9,21-二氯-17-[(2-呋喃基羰基)氧]-11-羟-16-甲基-孕甾-1,4-二烯-3,20-二酮。

(11β,16α)-9,21-Dichloro-17-[(2-furanylcarbonyl)oxy]-11-hydroxy-16-methyl-pregna-1,4-diene-3,20-dione.

9,21-二氯-11β,17-二羟-16α-甲基孕甾-1,4-二烯-3,20-二酮17-(2-糠酸盐)。

9,21-Dichloro-11β,17-dihydroxy-16α-methylpregna1,4-diene-3,20-dione 17-(2-furoate).

肾上腺皮质激素药(局部应用)。

莫米松糠酸酯,糠酸莫米松酯,糠酸莫米他松(中)。

Mometasone Furoate,Sch 32088.

INN & BAN(Mometasone),USAN.

随便看

 

离鸟网收录3541549条中英文词条,其功能与新华字典、现代汉语词典、牛津高阶英汉词典等各类中英文词典类似,基本涵盖了全部常用中英文字词句的读音、释义及用法,是语言学习和写作的有利工具。

 

Copyright © 2004-2024 vtrois.com All Rights Reserved
更新时间:2026/4/18 0:12:31