网站首页  词典首页


请输入您要查询的字词:

 

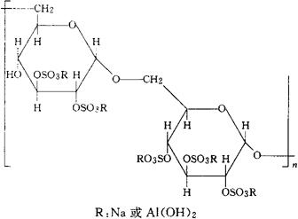
字词 糖酐硫盐
类别 中英文字词句释义及详细解析
释义 糖酐硫盐

CAS-37209-31-7

硫酸右旋糖酐的钠盐,铝盐复合物。

Dextran sulfate,sodium salt,aluminum complex.

硫酸葡聚糖钠铝。

Dextrafate.

INN,USAN.

随便看

 

离鸟网收录3541549条中英文词条,其功能与新华字典、现代汉语词典、牛津高阶英汉词典等各类中英文词典类似,基本涵盖了全部常用中英文字词句的读音、释义及用法,是语言学习和写作的有利工具。

 

Copyright © 2004-2024 vtrois.com All Rights Reserved
更新时间:2026/4/19 8:28:47