糖汁清净及蒸发过程中蔗糖转化分解损失的计算
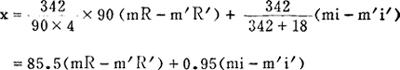
在清净过程中,蔗糖在氢离子或微生物的作用下的转化和分解产物,为转化糖及乳酸等,因此可根据制品中转化糖及总阴离子含量的变化,计算出转化分解损失。例:蒸发过程中转化分解损失,可用下式汁算:  式中 x——蒸发过程中糖分的转化分解损失(%对甜菜) m——糖浆量(%对甜菜) R——糖浆中总阴离子(毫克当量/100克糖浆) m′——稀汁量(%对甜菜) R′——稀汁中总阴离子(毫克当量/100克稀汁) i——糖浆中还原物(%对糖浆) i′——稀汁中的还原物(%对稀汁) 该式同样适用于计算沉降、煮糖等过程的转化分解损失。 |