网站首页  词典首页


请输入您要查询的字词:

 

字词 粗糙表面的接触
类别 中英文字词句释义及详细解析
释义 粗糙表面的接触

表面上的各凸峰称为微凸体。在垂直于接触表面的载荷作用下,两表面间的接触仅发生在微凸体的顶部。因此,两摩擦表面接触时,除用名义接触面积外,还用轮廓接触面积和实际接触面积来表征实际的接触状况,如图1.5-5所示。由于表面有波度,从而使各接触点聚集在各个波顶,形成一离散的接触,该波顶接触所形成的区域的总和,称为轮廓接触而积Ac(用一般涂料法测量的接触面积即Ac)。实际接触面积Ar,是群集于各轮廓接触面内各较高的微凸体接触所构成的面积之和。实际接触面积Ar,一般不超过名义接触面积A的0.01~0.1%,且集中于轮廓接触面积内,其余表面之间存在著10-2μm或更大的间隙,各实际接触点的大小很不一致,以小尺寸的量多。当单位压力小于该材料布氏硬度值的1/10时,平均接触宽度并不随载荷发生大的变化。作为近似估计,其方法是数出表面轮廓曲线在单位长度上与中线的交叉次数n。平均接触宽度约为0.2/n,见图1.5-6。如磨削表面,n值每1mm长度上约100点,则平均接触宽度为2μm。

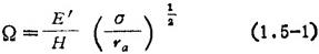
两粗糙表面接触时,随著法向载荷的增加,其法向变形量(接近量)增大,较高的微凸体将由弹性接触转变为塑性接触。因此,法向接近量可作为衡量表面塑性变形程度的指标。实用中。用塑性指数Ω作为判据。

式中 ,为两接触表面材料的综合弹性模量;E1、E2为两接触表面材料的弹性模量:v1、v2为两接触表面材料的波松比;H为两接触面中较软材料的布氏硬度值;,为两表面轮廓的均方根偏差σ1和σ2(定义见表1.5-1)的综合值;ra为微凸体峰顶的平均曲率半径(表1.5-1)。

塑性指数Ω<0.6时,属于弹性接触;Ω>3,属于塑性接触;Ω在0.6~3之间,为混合接触状态,Ω值愈大,则塑性变形所占比例愈大。

随便看

 

离鸟网收录3541549条中英文词条,其功能与新华字典、现代汉语词典、牛津高阶英汉词典等各类中英文词典类似,基本涵盖了全部常用中英文字词句的读音、释义及用法,是语言学习和写作的有利工具。

 

Copyright © 2004-2024 vtrois.com All Rights Reserved
更新时间:2026/4/17 19:58:54