粗浆得率(或收获率)的计算
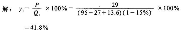
[说明]指纤维原料经蒸煮后所得纸浆重量对蒸煮前原料重量的百分比。是衡量蒸煮纸浆产量的主要技术经济指标。计算时原料和纸浆均需折算为绝干重量或风干(10%水分)重量。  式中 y1kk 粗浆得率(%) Pkk 本期蒸煮后粗浆产量(t),即蒸煮后的放锅(球)量,可采用经常测定的方法取得,每当改变原料配比、组成或蒸煮工艺条件时,即要及时进行测定;同时,要经常利用各种技术条件,对粗浆得率进行校验。 Q1kk 蒸煮前原料重量(t),即经过备料加工的净料量,包括上期装锅(球)在本期放出的粗浆量所使用的原料量,不包括本期已装锅(球)在本期内未放出粗浆量使用的原料量 [例1I某蒸煮工段乙班的绝干粗浆产量为29t,共装木片95t,其中有27t木片的浆由下班放料,另有上班装由本班放料的木片13.6t,原料水分15%,计算该班的粗浆得率。  [例2]某厂实验室测定蒸煮车间粗浆得率,称含水分12%的木片1136g,装入铜网袋放到蒸煮锅中,煮后称得洗净的粗浆为2100g,水分80%,问粗浆得率是多少?  |