网站首页  词典首页


请输入您要查询的字词:

 

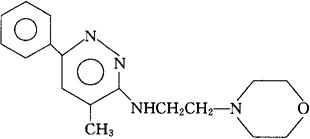
字词 米那普令
类别 中英文字词句释义及详细解析
释义 米那普令

C17H22N4O=298.39

CAS-25905-77-5

N-(4-甲基-6-苯基-3-哒嗪基)-4-吗啉乙胺。

N-(4-Methyl-6-phenyl-3-pyridazinyl)-4-morpholineethanamine.

4-[2-[(4-甲基-6-苯基-3-哒嗪基)氨基]乙基]吗啉。

4-[2-[(4-Methyl-6-phenyl-3-pyridazinyl)amino]ethyl]morpholine.

抗抑郁药。

米那吗啉。

Minaprine,Cantor.

INN,BAN,DCF,DCIT,USAN,MI.

随便看

 

离鸟网收录3541549条中英文词条,其功能与新华字典、现代汉语词典、牛津高阶英汉词典等各类中英文词典类似,基本涵盖了全部常用中英文字词句的读音、释义及用法,是语言学习和写作的有利工具。

 

Copyright © 2004-2024 vtrois.com All Rights Reserved
更新时间:2026/4/17 23:32:25