网站首页  词典首页


请输入您要查询的字词:

 

字词 米索前列醇
类别 中英文字词句释义及详细解析
释义 米索前列醇

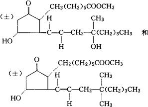
C22H38O5=382.54

CAS-59122-46-2

(11α,13E)-(±)-11,16-二羟-16-甲基-9-氧代-前列腺-13-烯-1-酸甲酯。

(11a,13E)-(±)-11,16-Dihydroxy-16-methyl-9-oxoprost-13-en-1-oic acid,methyl ester.ro

(±)-甲基(1R,2R,3R)-3-羟-2-[(E)-(4RS)-4-羟-4-甲基-1-辛烯基]-5-氧环戊烷庚酸酯。

(±)-Methyl(1R,2R,3R)-3-hydroxy-2-[(E)-(4RS)-4-hydroxy-4-methyl-1-octenyl]-5-oxocyclopentaneheptanoate.

前列素类药。用于胃溃疡。

Misoprostol,SC-29333,Cytotec.

INN,BAN,DCF,USAN.

随便看

 

离鸟网收录3541549条中英文词条,其功能与新华字典、现代汉语词典、牛津高阶英汉词典等各类中英文词典类似,基本涵盖了全部常用中英文字词句的读音、释义及用法,是语言学习和写作的有利工具。

 

Copyright © 2004-2024 vtrois.com All Rights Reserved
更新时间:2026/4/17 21:40:19