网站首页  词典首页


请输入您要查询的字词:

 

字词 米托坦
类别 中英文字词句释义及详细解析
释义 米托坦

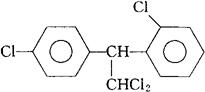
C14H10Cl4=320.05

CAS-53-19-0

1-氯-2-[2,2-二氯-1-(对-氯苯基)乙基]苯。

1-Chloro-2-[2,2-dichloro-1-(p-chlorophenyl)ethyl]-benzene.

1,1-二氯-2-(邻-氯苯基)-2-(对-氯苯基)乙烷。

1,1-Dichloro-2-(o-chlorophenyl)-2-(p-chlorophenyl)ethane.

抗肿瘤药。

Mitotane,CB 313,NSC-38721.

INN,JAN,USAN,USP.

随便看

 

离鸟网收录3541549条中英文词条,其功能与新华字典、现代汉语词典、牛津高阶英汉词典等各类中英文词典类似,基本涵盖了全部常用中英文字词句的读音、释义及用法,是语言学习和写作的有利工具。

 

Copyright © 2004-2024 vtrois.com All Rights Reserved
更新时间:2026/4/18 11:56:53