网站首页  词典首页


请输入您要查询的字词:

 

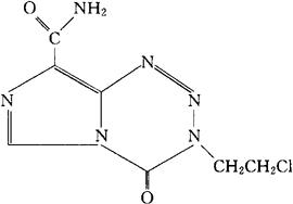
字词 米托唑胺
类别 中英文字词句释义及详细解析
释义 米托唑胺

C7H7ClN6O2=242.62

CAS-85622-95-3

3-(2-氯乙基)-3,4-二氢-4-氧代吡唑并[5,1-b]-1,2,

3,5-四吖嗪-8-甲酰胺。

3-(2-Chloroethyl)-3,4-dihydro-4-oxoimidazo[5,1-b]-as-tetrazine-8-carboxamide.

抗肿瘤药。

Mitozolomide,Azolastone,CCRG 81010,46241 RP,NSC 353451,M & B 39565.

INN,BAN,USAN.

随便看

 

离鸟网收录3541549条中英文词条,其功能与新华字典、现代汉语词典、牛津高阶英汉词典等各类中英文词典类似,基本涵盖了全部常用中英文字词句的读音、释义及用法,是语言学习和写作的有利工具。

 

Copyright © 2004-2024 vtrois.com All Rights Reserved
更新时间:2026/4/17 19:37:21