网站首页  词典首页


请输入您要查询的字词:

 

字词 米库氯铵
类别 中英文字词句释义及详细解析
释义 米库氯铵

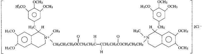
C58H80Cl2N2O14=1100.18

CAS-106861-44-3

氯化(R)-1,2,3,4-四氢-2-(3-羟丙基)-6,7-二甲氧-2-甲基-1-(3,4,5-三甲氧苄基)异喹啉鎓,(E)-辛烯二酸盐(2∶1)。

(R)-1,2,3,4-Tetrahydro-2-(3-hydroxypropyl)-6,7-dimethoxy-2-methyl-1-(3,4,5-trimethoxybenzyl)isoquinolinium chloride,(E)-4-octenedioate(2∶1).

[R-[R*,R*-(E)]]-2,2′-[(1,8-二氧代-4-辛烯-1,8-二基)双(氧-3,1-丙(烷)二基)]双[1,2,3,4-四氢-6,7-二甲氧-2-甲基-1-[(3,4,5-三甲氧苯基)甲基]异喹鎓,二氯化物。

[R-[R*,R*-(E)]]-2,2′-[(1,8-Dioxo-4-octene-1,8-diyl)bis(oxy-3,1-propanediyl]-bis[1,2,3,4-tetrahydro-6,7-dimethoxy-2-methyl-1-[(3,4,5-trimethoxyphenyl)methyl-isoquinolinum],dichloride.

骨骼肌肉松弛药(神经肌肉松弛药)。

氯米洼库。

Mivacurium Chloride,BW Bl090U.

INN,BAN,USAN.

随便看

 

离鸟网收录3541549条中英文词条,其功能与新华字典、现代汉语词典、牛津高阶英汉词典等各类中英文词典类似,基本涵盖了全部常用中英文字词句的读音、释义及用法,是语言学习和写作的有利工具。

 

Copyright © 2004-2024 vtrois.com All Rights Reserved
更新时间:2026/4/18 23:29:49