网站首页  词典首页


请输入您要查询的字词:

 

字词 管道膨胀产生的轴向推力计算
类别 中英文字词句释义及详细解析
释义 管道膨胀产生的轴向推力计算

[说明]管道受热膨胀时,能产生极大的轴向推力,因此,必须据此对管道进行热膨胀补偿,否则,将对管架和构筑物造成破坏,危及管道系统的安全运行。

式中 P——管道产生的轴向推力(N)

F——管道的截面积(m2)

σ——管材的热胀应力(Pa)

D——管道外径(m)

D——管道内径(m)

E——管材的弹性模数,E随材质品种和工作温度的不同而变化。钢材的弹性模数取为2×1011Pa;硬聚氯乙烯为0.032×1011Pa

α——管材的线膨胀系数[m/(m·℃)],见表2-5-28

表2-5-28 不同管材的线膨胀系数α

△t——同上

[讨论]对于钢材管,E=2×1011Pa,α=0.012mm/(m·℃)=12m/(m·℃),则其热膨胀应力为:

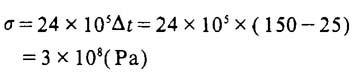
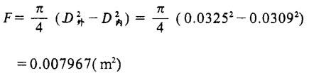
[例]有一Φ325×8mm的无缝钢管,投入运行后的温度为150℃,而安装时的温度为25℃,如果将管道两端固定,因膨胀而产生的轴向推力是多少?

解:热胀应力为:

管材的截面积:

故管道产生的轴向推力:

随便看

 

离鸟网收录3541549条中英文词条,其功能与新华字典、现代汉语词典、牛津高阶英汉词典等各类中英文词典类似,基本涵盖了全部常用中英文字词句的读音、释义及用法,是语言学习和写作的有利工具。

 

Copyright © 2004-2024 vtrois.com All Rights Reserved
更新时间:2026/4/17 20:53:16