网站首页  词典首页


请输入您要查询的字词:

 

字词 管道的热损失计算实例
类别 中英文字词句释义及详细解析
释义 管道的热损失计算实例

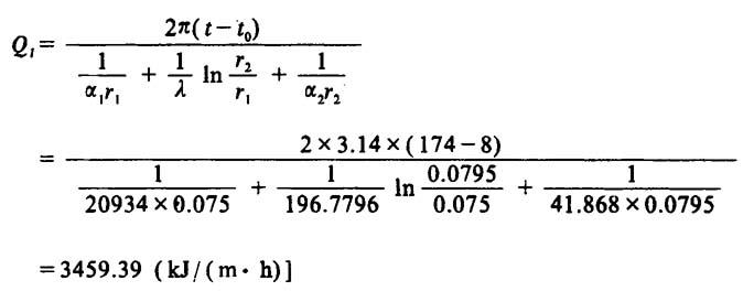
[例]某厂从锅炉送入车问的蒸汽管为φ159×4.5mm,长度138m,输汽压力为784.5kPa(表压),温度t=174℃,室外空气温度取年平均温度t0=8℃,α1=20934kJ/(m2·h·℃),α2=41.868kJ/(m2·h·℃),钢管的导热系数λ=196.7796kJ/(m·h·℃),汽管内径r1=75mm,外径r2=79.5mm,岩棉厚度δ=50mm。求:
❶ 无保温裸管热损失;
❷ 岩棉保温后热损失;
❸ 热损降低率;
❹ 节约标煤量。

解:
❶ 无保温裸管热损失Q1

根据式 4-2-259得:

年损失热折标煤量:

❷ 采用岩棉保温后热损失Q2

已知保温层厚度为50mm,外表温度t1=15℃,故:

岩棉的导热系数λ1为:

年损失折标煤量G2

❸ 热损降低率η

❹ 年节约标煤量G

随便看

 

离鸟网收录3541549条中英文词条,其功能与新华字典、现代汉语词典、牛津高阶英汉词典等各类中英文词典类似,基本涵盖了全部常用中英文字词句的读音、释义及用法,是语言学习和写作的有利工具。

 

Copyright © 2004-2024 vtrois.com All Rights Reserved
更新时间:2026/4/19 3:15:22