简单随机抽样平均误差
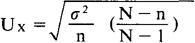
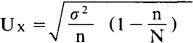
在简单随机抽样调查的组织形式下,抽样平均数或抽样成数的均方差,它们的计算公式随抽样的方法不同而异。 在重复抽样的条件下,数理统计证明,抽样平均误差,等于全及总体平均数均方差(σ)除以抽样单位数(n)的平方根。如下式:  对于不重复抽样,抽样平均误差公式为:  式中 叫做修正系数。当总体单位数较多时,系数中的分母N-1可用N代替,这时上式可简化为:  在掌握抽样平均数平均误差计算方法的基础上,探求抽样成数平均误差的公式是比较简便的。 理论证明,全及成数的方差为P(1-P),将此代替上式中的σ2,就可得到以下两个计算抽样成数平均误差的公式: 重复抽样时 不重复抽样时  由于( )这个数值永远小于1,所以在同样的情况下,不重复抽样的平均误差,永远小于重复抽样的平均误差。 如果N很大,n相对很小时,则( )接近于1,对于平均误差的作用不大。因此实际工作中按不重复抽样方法抽样时,也往往采用重复抽样的公式计算抽样平均误差。 |