网站首页  词典首页


请输入您要查询的字词:

 

字词 简单调和平均数
类别 中英文字词句释义及详细解析
释义 简单调和平均数

在各变量值对平均数起同等作用的条件下采用。

计算公式为:

式中:

H代表调和平均数;

x代表各标志值(变量值);

n代表变量值的项数;

∑是总和符号。

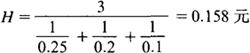
例如,市场上某种蔬菜每斤价格,早市为0.25元,午市为0.20元,晚市为0.10元,如果早、中、晚各买1元钱的菜,要求计算该种菜平均每斤的价格。在这种情况下,不能用简单算术平均数法,而应该用简单调和平均数法计算。

早上用1元钱买菜

中午用1元钱买菜

晚上用1元钱买菜

平均每元钱买菜

平均每斤菜的价格为

将计算过程联系起来,平均价格的计算为:

随便看

 

离鸟网收录3541549条中英文词条,其功能与新华字典、现代汉语词典、牛津高阶英汉词典等各类中英文词典类似,基本涵盖了全部常用中英文字词句的读音、释义及用法,是语言学习和写作的有利工具。

 

Copyright © 2004-2024 vtrois.com All Rights Reserved
更新时间:2026/4/18 16:01:31