网站首页  词典首页


请输入您要查询的字词:

 

字词 简单相关系数
类别 中英文字词句释义及详细解析
释义 简单相关系数

一般亦称相关系数,它是衡量任意两个变量线性关系的密切程度的指标。

对于任何两个变量x(自变量)和y(因变量)的一组观测数据(xj,yj)(i=1,2,…,N),根据普通最小平方法都可以拟合出一条回归直线来。如果变量x与y之间并不存在某种线性相关关系,那么拟合的回归直线就毫无意义。检验回归直线是否有意义,一是要靠经济理论和实践经验,二就是考察变量x与y之间的相关系数的大小。

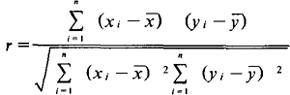
通常用r表示相关系数,其计算公式为:

上式可简写为:

r的取值范围是。(1)当r=0时,说明y的变化与x无关,这时x与y没有线性关系。(2)当时,说明x与y之间存在著一定线性关系。

当r>0时,y值随著x增加而增加,此时称x与y为不相关;当r<0时,y随著x的增加而减少,此时称x与y为负相关。(3)当时,x与y完全线性相关。

当r=+1时,称为完全正相关,而r=-1时,称为完全负相关。显而易见,越接近于1,x与y之间的线性相关程度越密切,当越接近于0时,则反之。

应当注意的是,r只表示x和y的线性关系密切的程度。当r很小甚至为零时,只表明x与y之间线性关系不密切,或不存在线性关系,并不表示x与y之间就没关系,二者之间也可能有非线性的关系。

随便看

 

离鸟网收录3541549条中英文词条,其功能与新华字典、现代汉语词典、牛津高阶英汉词典等各类中英文词典类似,基本涵盖了全部常用中英文字词句的读音、释义及用法,是语言学习和写作的有利工具。

 

Copyright © 2004-2024 vtrois.com All Rights Reserved
更新时间:2026/4/18 0:37:49