网站首页  词典首页


请输入您要查询的字词:

 

字词 等腰梯形的判定
类别 中英文字词句释义及详细解析
释义 等腰梯形的判定

1.两腰相等的梯形是等腰梯形.

2.同一底上的两个内角相等的梯形是等腰梯形.

3.对角互补的梯形是等腰梯形.

注意 “两个底角相等的梯形是等腰梯形”这个结论是错误的,因为直角梯形也有两个底角相等,它们分别是一个上底角,一个下底角.因此,用两个角相等来判断一个梯形是等腰梯形的话,必须是同一底上的两个内角相等.

例1 如图,梯形ABCD中,AB∥DC,AD=DC=CB,AD、BC的延长线相交于G,CE⊥AG于点E,CF⊥AB于点F.

(1)请写出图中4组相等的线段;(已知的相等线段除外)

(2)选择(1)中你所写的一组相等线段,说明它们相等的理由.

答 (1)DG=CG,DE=BF,CF=CE,AF=AE,AG=BG.

(2)证AG=BG.

∵在梯形ABCD中,AB∥DC,AD=DC=CB,

∴梯形ABCD是等腰梯形.

∴∠GAB=∠GBA,∴AG=BG.

例2 已知:等腰梯形ABCD中,AD∥BC,AC与BD相交于点O,则图中全等的三角形有( )对.

A.2 B.4 C.1 D.3

答 D.

[解析] ∵四边形ABCD是等腰梯形,

∴AC=BD,又AD=AD,AB=DC.

∴△ABD≌△DCA.

同理可知△ABC≌△DCB.

∴∠BAC=∠CDB.

又∵∠AOB=∠DOC,

AB=CD,

∴△AOB≌△DOC.

所以选D.

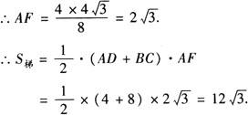
例3 如图所示,在梯形ABCD中,AD∥BC,AB=DC,∠ADC=120°,对角线CA平分∠BCD,且梯形的周长为20,则AC=__,梯形ABCD的面积为__.

答 4,12

[解析] ∵四边形ABCD为等腰梯形,

∴∠ABC=∠DCB=180°-∠ADC=60°.

又∵CA平分∠BCD,

∴∠1=∠2=30°.

∴∠BAC=90°,在Rt△ABC中,设AB=a,则,BC=2a.

又∵AD∥BC,∴∠2=∠3.

∴∠1=∠3,∴AD=DC.

∴AD=DC=AB=a.

∴a+a+a+2a=5a=20.

∴a=4.∴

过A作AF⊥BC于F点,

则AF·BC=AB·AC.

例4 某住宅小区在两条平行道路之间有一块梯形空地,现打算种植两种不同的花卉,为了便于管理,需要在两条道路之间垂直地修一条小路,并把空地分成面积相等的两块,这条小路应该怎样开挖?

[解析] 分别取梯形上、下底的中点A、B并连接,取AB中点O,过O作上下底的垂线,垂足分别为C、D,则CD即为要修的小路的位置.

理由:线段AB把原梯形分割成两个面积相等的梯形(等底同高的两个梯形面积相等)

又易证△OAC≌△OBD.

∴S△OAC=S△OBD

∴S梯形PQDC=S梯形CDMN

随便看

 

离鸟网收录3541549条中英文词条,其功能与新华字典、现代汉语词典、牛津高阶英汉词典等各类中英文词典类似,基本涵盖了全部常用中英文字词句的读音、释义及用法,是语言学习和写作的有利工具。

 

Copyright © 2004-2024 vtrois.com All Rights Reserved
更新时间:2026/4/18 11:04:19