网站首页  词典首页


请输入您要查询的字词:

 

字词 等级相关系数
类别 中英文字词句释义及详细解析
释义 等级相关系数

亦称“等级系数”或“Spedrman相关系数”。

表明等级相关密切程度的指标。计算方法如下:

首先,将标志编好号码。

编号时按递升或递降次序排列均可,但必须用同样的规则来排列各变量的等级顺序。

排列时如遇有两个或更多个变量值相同时,取它们等级的平均数。

其次,计算两个变量标志对应的等级差,记作d,即:d=X的等级-Y的等级

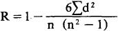
最后,按下式计算等级相关系数R:

式中:

n为等级的项数;

∑d2为所有等级差的平方和。

随便看

 

离鸟网收录3541549条中英文词条,其功能与新华字典、现代汉语词典、牛津高阶英汉词典等各类中英文词典类似,基本涵盖了全部常用中英文字词句的读音、释义及用法,是语言学习和写作的有利工具。

 

Copyright © 2004-2024 vtrois.com All Rights Reserved
更新时间:2026/4/19 2:35:28