网站首页  词典首页


请输入您要查询的字词:

 

字词 等比性质
类别 中英文字词句释义及详细解析
释义 等比性质

如果a/b=a/d=…=m/n(b+d+…+n≠0),那么

注意 1.等比性质通常用设k的方法来求解.

2.等比性质的应用条件是b+d+…+n≠0,(所有分母之和不为零).

例1 如果a/b=c/d,那么下列各式成立的是( ).

答 D.

[解析] 题目没有明确b+d≠0,因此,若不认真思考就会错选A.,由已知条件可得

,∴.(其中由已知条件知d2+b2≠0)故选D.

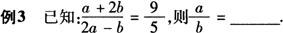
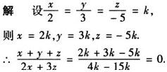
例2 已知:,求的值.

[解析] ∵2+3-5=0,显然不能用等比性质.这时可设比值为k.

∴5(a+2b)=9(2a-b).

即13a=19b.

[解析] ∵3a=5b

注意比例性质的综合应用.

例5 已知:如图,在△ABC中,AB=12cm,AE=6cm,EC=4cm,且

(1)求:AD的长.

(2)成立吗?为什么?

随便看

 

离鸟网收录3541549条中英文词条,其功能与新华字典、现代汉语词典、牛津高阶英汉词典等各类中英文词典类似,基本涵盖了全部常用中英文字词句的读音、释义及用法,是语言学习和写作的有利工具。

 

Copyright © 2004-2024 vtrois.com All Rights Reserved
更新时间:2026/4/17 21:50:13