网站首页  词典首页


请输入您要查询的字词:

 

字词 等差数列的基本性质
类别 中英文字词句释义及详细解析
释义 等差数列的基本性质

设{an}是等差数列,那么

1.an=am+(n—m)d. (m,n∈N+)

2.如果m,n,p,q∈N+,且m+n=p+q,则am+an=ap+aq,特别的当m+n=2p时,am+an=2ap

3.数列{λan+b}(a、b为常数)是公差为λd的等差数列.

4.若{bn}也是公差为d的等差数列,那么{λ1an2bn}(λ1,λ2为常数)也是等差数列,公差为λ1d+λ2d.

5.下标成等差数列,且公差为m的项ak,ak+m,ak+2m,…组成的数列仍是等差数列,公差为md,

一个等差数列,由始到尾,截成项数相等的若干段后,各段内诸项之和组成新的等差数列,若每段含n项,则新公差为原公差的n2倍,即:在等差数列{an}中,公差为d.

设T1=a1+a2+…+an

T2=an+1+an+2+…+a2n

T3=a2n+1+a2n+2+…+a3n

Tk=a(k—1)n+1+a(k—1)n+2+…+a(k—1)n+n(n∈N+).

对于固定的n,数列{Tk}是等差数列,其公差为n2d.

6.若项数为2n(n∈N+),则S2n=n(an+an+1)(an,an+1为中间二项),且S—S=nd,

若项数为2n—1,则S2n—1=(2n1)an(an为中间项),且S奇—S=an

7.当时,Sn有最大值,此时n满足

时,Sn有最小值,此时n满足

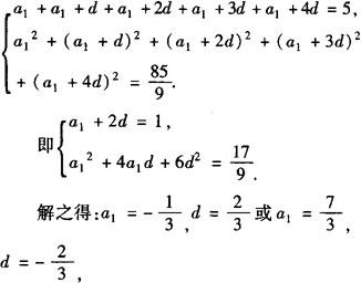
例1 已知5个数成等差数列,它们的和为5,平方和为,求这5个数.

分析 利用概念、公式列方程组求解.

解 设第一个数是a1,公差为d,由已知条件列出方程组

这5个数分别是

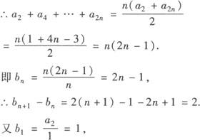
例2 等差数列的前n项和为Sn,若S12=84,S20=460,求S28

分析 这是一个等差数列的求和公式的基本应用题,必须对等差数列的前n项和公式的几种形式非常熟悉.

解 设等差数列{an}的首项为a1,公差为d,则

由S12=84,S20=460得

解得a1=—15,d=4.

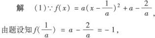
例3 设实数a≠0,且函数f(x)=a(x2+1)—()有最小值—1.

(1)求a的值;

(2)设数列{an}的前n项和Sn=f(n),令证明数列{bn}是等差数列.

a>0,解得a=1,a=—2(舍去).

(2)证明:由(1)得f(x)=x2—2x,

∴Sn=n2—2n,a1=S1=—1.

当n≥2时,an=Sn—Sn—1=n2—2n(n—1)2+2(n—1)=2n—3,a1满足上式即an=2n—3,

∵an+1—an=2(n+1)—3—2n+3=2,

∴数列{an}是首项为—1,公差为2的等差数列.

∴{bn}是以1为首项,2为公差的等差数列.

随便看

 

离鸟网收录3541549条中英文词条,其功能与新华字典、现代汉语词典、牛津高阶英汉词典等各类中英文词典类似,基本涵盖了全部常用中英文字词句的读音、释义及用法,是语言学习和写作的有利工具。

 

Copyright © 2004-2024 vtrois.com All Rights Reserved
更新时间:2026/4/20 11:59:45