网站首页  词典首页


请输入您要查询的字词:

 

字词 第一节 平面反射镜
类别 中英文字词句释义及详细解析
释义 第一节 平面反射镜

平面反射镜按反射面位置分为内反射面反射镜和外反射面反射镜两种。平面反射镜与棱镜相比,主要优点是重量轻,材料要求较低。但由于厚度较小,易变形而影响成像质量,因此对加工精度要求高,尤其对于内反射镜的楔形差(平行度)要求高,否则将产生双像差和色差,在会聚光束中还会产生其它像差。因此使用范围受到了一定的限制。

平面反射镜在装配和使用中应力及变形大,因此只用于大口径光学系统中,或者用于要求不太高的光学部件中,例如照明装置、照相机取景器、显微镜和绘图装置等。对于个别要求较高的地方,大多采用石英玻璃材料制造平面反射镜,以保证其精度。

平面反射镜厚度与口径的关系:为了满足平面反射镜表面精度的不同要求,其厚度与口径的关系可参考表3-1。

表3-1 平面反射镜厚度

注:d为平面反射镜厚度;L为平面反射镜的最大尺寸。

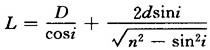
对于内反射面平面反射镜的最大尺寸L与厚度d的关系如下

式中 D为光束口径;i为光线的入射角;n为反射镜材料的折射率。

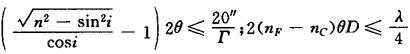
为消除内反射面平面反射镜产生的双像差和色差,对其平行度θ的要求应满足

式中 Γ为平面反射镜后光学系统的放大率。

随便看

 

离鸟网收录3541549条中英文词条,其功能与新华字典、现代汉语词典、牛津高阶英汉词典等各类中英文词典类似,基本涵盖了全部常用中英文字词句的读音、释义及用法,是语言学习和写作的有利工具。

 

Copyright © 2004-2024 vtrois.com All Rights Reserved
更新时间:2026/4/17 17:49:37