网站首页  词典首页


请输入您要查询的字词:

 

字词 第n次洗涤后浆中废液含残碱浓度的计算及实例
类别 中英文字词句释义及详细解析
释义 第n次洗涤后浆中废液含残碱浓度的计算及实例

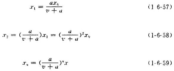
【公式】

式中 v——每次洗涤用水量(m3)

a——每次洗涤滤干后残留在浆中的残液量(3)

x0——浆料中废液最初所含残碱浓度(当量浓度N0)

x1——第一次洗涤后浆料中废液所含残碱浓度(当量浓度N1)

x2——第二次洗涤后浆中废液所含残碱浓度(当量浓度N2)

xn——第n次洗涤后浆中废液含残碱浓度(当量浓度)

【例】 某厂洗浆总用水量100m3,分四次洗涤,每次25m3。如分二次洗涤,每次50m°,其洗涤效率为多少?(设残留在浆中的液量为1m3,浆中废液最初残碱含量为0.01N)

解:因为分四次洗涤,所以,

若分两次洗涤,则:

从计算看出,洗涤水量相同时,分四次洗的比分两次洗的残碱含量可降低到原来的

随便看

 

离鸟网收录3541549条中英文词条,其功能与新华字典、现代汉语词典、牛津高阶英汉词典等各类中英文词典类似,基本涵盖了全部常用中英文字词句的读音、释义及用法,是语言学习和写作的有利工具。

 

Copyright © 2004-2024 vtrois.com All Rights Reserved
更新时间:2026/4/18 0:20:02