窑气量的换算
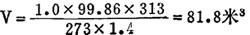
标准状况下窑气量换算成工厂条件的体积(V),为:  式中 V0——标准状况下的窑气体积(米3)如窑气为重量(公斤),除以窑气容重(1.4公斤/米3)即得 P0——标准状况下的压力1.0大气压 T0——标准状况下的温度273°K P——窑气在输送管道中的绝对压力(大气压)1+窑气的表压 T——窑气在输送管道中的绝对温度(°K)273+窑气温度(℃) 例:标准状况(T0=273°K,P0=1.0大气压)下,100公斤石灰石煅烧得99.86米3窑气(V0);饱充罐内液位高4米时,P=1+0.4=1.4;窑气温度40℃,T=273+40=313°K,则进入饱充罐的窑气体积  |