网站首页  词典首页


请输入您要查询的字词:

 

字词 穿心莲
类别 中英文字词句释义及详细解析
释义 穿心莲

【名称出处】:广州部队《中草药手册》

【概况】:

异名 春莲秋柳(《岭南采药录》),一见喜(《泉州本草》),榄核莲、苦胆草、斩蛇剑、圆锥须药草(广州部队《常用中草药手册》),日行千里、四方莲、金香草、金耳钩、春莲夏柳、印度草(《广东中草药》),苦草(《福建中草药》),

基源 为爵床科穿心莲属植物穿心莲的全草。

穿心莲属全世界约20种;中国约5种,均为药用植物。

原植物 穿心莲Andrographis paniculata(Burm f.)Nees

历史 本种亦名春莲秋柳,首载于《岭南采药录》,云“能解蛇毒,又能理内伤咳嗽。”后《泉州本草》称为“一见喜”云有“消炎解毒、消炎退肿”的功能。

形态 一年生草本。

茎高50~80cm,四棱形,下部多分枝,节膨大。叶卵状矩圆形至矩圆状披针形,长4~8cm,顶端略钝。

总状花序顶生和腋生,集成大型圆锥花序;苞片和小苞片微小,长约1mm;花萼裂片三角状披针形,长约3mm,有腺毛和微毛;花冠白色而下唇带紫色斑纹,长约12mm,外有腺毛和短柔毛,2唇形,上层微2裂,下唇3深裂,花冠筒与唇瓣等长;雄蕊2,花药2室,1室基部和花丝一侧有柔毛。蒴果扁,中有1沟,长约10mm,疏生腺毛;种子12颗,四方形,有皱纹。

花果期夏、秋季。(图见《中国高等植物图鉴》.第4册 166页.图5746)

生境与分布 生长于温暖湿润环境,以排水较好、肥沃的沙质壤土为宜。山东、江苏、浙江、江西、福建、广东、广西、云南有栽培。。

【生药】:

栽培 适于温暖湿润环境。

不耐严寒。以排水良好而肥沃的砂质壤土为宜。用种子繁殖,直播或育苗移栽。种子萌发适温25~30℃,大田直播,常因前期气温低,出苗迟,产量低,多以育苗移栽为主。

一般南方3~4月、北方于4月温床育苗。播前需催芽,将种子浸在35~45℃的温水中24小时,取出稍凉后播种,按行距30cm开划浅沟条播或撒播。

播后覆细土或草木灰,以不见种子为度,并浇水保湿。每亩用种量0.5kg。

为了提高地温,播后铺上塑料薄膜,再盖上稻草,最后架上塑料环棚。

苗床内温度以不超过30℃为好。

出苗时揭除盖物,注意通风,保持土表湿润。苗高4cm时出圃移栽,按株行距20×27cm穴栽。

定植后结合中耕除草,用人畜粪水或氮素化肥追施3~4次。留种田还应在孕蕾期喷施2%过磷酸钙液1~2次。病害有猝倒病,发病时用50%托布津可湿性粉剂1000倍液喷雾;疫病,喷1.1∶120的波尔多液或70%敌克松可湿性粉剂500倍液防治。

注意棉铃虫、地老虎、非洲蝼蛄等虫害防治。

采集 夏、秋季采割地上部分,晒干。药材主产于广东、福建,江西、湖南、广西、四川及上海也有产。

鉴别

性状 全草长50~70cm。茎四棱,多分枝,节略膨大,质脆,易折断。单叶对生,叶柄短或近无柄,完整叶片披针形或卵状披针形,长3~12cm,宽2~5cm,先端渐尖,基部楔形而下延,全缘或波状,叶面绿色,叶背灰绿色,两面光滑。气微,味极苦。

显微 叶片横切面:上表皮细胞扁平;钟乳体众多,另有两晶细胞相连的双钟乳体,以沿叶脉处较多见;非腺毛圆锥形,1~4细胞,具角层纹理或微具壁疣;偶有腺鳞。栅状组织为1列长圆柱形细胞,与中脉中部毗连。

海绵组织为4~5列薄壁细胞。下表皮有腺鳞,头部4、6、8细胞,柄单细胞,极短;另有细尖的单细胞毛;亦有少量钟乳体。(图见《中药志》.第4册.第2版.559页.图546)

茎横切面:四角茎棱外突。表皮细胞外壁稍增厚,角质化,内含钟乳体;具单细胞头的腺毛,柄3细胞。

厚角组织分布在表皮下四角处。绿皮层2~3列细胞纵向延长,充满叶绿体;内皮层细胞稍大。

韧皮部皱缩。形成层不明显,木质部宽阔,初生木质部细胞壁非木化;射线宽1~3列细胞,含淀粉粒。髓的中心部分有少量针状结晶散在或成团。

(图见同上.560页.图547)

叶粉末:绿色。

❶ 上下表皮均有增大的晶细胞,内含大形螺状钟乳体,上表皮晶细胞较大,呈棒形、椭图形、长圆形或类圆形,长48~210μm,直径30~48gm,膨大端约至67μm;下表皮晶细胞较小;钟乳体形状与晶细胞一致,长约至180μm,直径约至36μm,较大端有脐样点痕,层纹波状,边缘不平整,尚有两个晶细胞相接。
❷ 气孔类长圆形,直轴式,副卫细胞大小悬殊,少数为不定式,副卫细胞3~5个。

❸ 腺鳞头部扁球形,4、6、8细胞,直径27~33μm,柄极短。短腺毛偶见,头部2细胞,侧面观宽约30gm;柄单细胞而短。
❹ 非腺毛圆锥形,1~4细胞,长19~144μm,基部直径至40μm,表面有角质线纹或微有疣状突起;另有细小单细胞毛,先端略呈钩状,壁厚6μm,表面光滑。

(图见《中药材粉末显微鉴定》.325页.图156)

理化 取样品粉末0.5g,加乙醇15ml,回流提取30分钟,提取液点于硅胶G板上,以新穿心莲内酯、穿心莲内脂、14-去氧穿心莲内脂、14-去氧-11,12-二去氢穿心莲内酯的乙醇溶液为对照,以氯仿-无水乙醇(19∶1)为展开剂,展距12.5cm喷2%3,5-二硝基苯甲酸甲醇溶液-0.5mol/L甲醇制氢氧化钾甲醇溶液(1∶1),在105℃加热约5分钟,显紫红色斑点。(图见《中药志》.第4册.第2版.561页.图548)

加工炮制 取原药材,除去杂质,抢水洗净,切短段,干燥。

贮藏 置干燥处。

。【化学】:

主要成分是二萜内酯和黄酮。

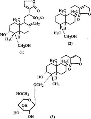
二萜内酯化合物有:穿心莲内酯(又名穿心莲乙素,Andrographolide)、去氧穿心莲内酯(又名穿心莲甲素,Deoxyandrographolide)、新穿心莲内酯(又名穿心莲丙素,Neoandrographolide)、高穿心莲内酯(Homoandrographolide)、14-去氧-11-氧化穿心莲内酯(14-Deoxy-11-oxoandrographolide)、14-去氧-11,12-二去氢穿心莲内酯(又名穿心莲丁素,14-Deoxy-11,12-didehydroandrographolide)[2]、穿心莲甙(穿心莲内酯甙,Andrographoside)、14-去氧穿心莲甙(14-Deoxyandrographoside)[3]、脱氧穿心莲内酯-19-β-D-葡萄糖甙(Deoxyandrographolide-19-β-D-glucoside)[4,5]、14-去氧-12-甲氧基穿心莲内酯(14-Deoxy-12-methoxy andrographolide)、和新结构穿心莲宁(Andrograpanin)(2)、穿心莲潘甙(Andropanoside)(3)并决定了其14-位的绝对构型[6]

《中国药典1977年版》将亚硫酸氢钠穿心莲内酯(Andrographolide sodium bisulfite)收载为抗菌消炎药,但对其化学结构后来又提出了修改,如(1)所示[1]1

黄酮类化合物有:5-羟基-7,8-二甲氧基黄酮,5-羟基-3,7,8,2′-四甲氧基黄酮、7-O-甲基-汉黄芩素(7-O-Methylwogonin)[7]汉黄芩素(Wogonin)、千层纸素A(Oroxylin A)[8]、芹菜素-7,4′-二甲醚(Apigenin7,4′-dimethyl ether)、5-羟基-7,8,2′-三甲氧基黄酮(Andrographin)、5,2′-二羟基-7,8-二甲氧基黄酮(Panicolin)、5-羟基-7,8,2′,3′-四甲氧基黄酮(Mono-O-methylwithtin)[2]。另外还含穿心莲烷(Andrographan)、穿心莲酮(Andrographon)、穿心莲甾醇(Andrographosterin)[9]、潘尼内酯(Panicolide)、β-谷甾醇-D-葡萄糖甙、αj-谷甾醇[2]、多酚类咖啡酸(Polyphenols caffeic acid)、绿原酸、二咖啡酰奎宁酸混合物(Mixt of dicaffeoylquinic acid)[10]、香芹酚(Carvacrol)、丁子香酚(Eugenol)、肉豆蔻酸(Myristic acid)、三十一烷(Hentriacontane)、三十三烷(Tritriacontane)[11,12]

注 愈伤组织培养分离得倍半萜内酯:榄核莲内酯A、B和C(Paniculides A、B、C)[2]

参考文献 [1] 药学通报 1980;15(11):41 [2] 新华本草纲要.第2册.上海科学技术出版社,1991:481 [3] 药学学报 1982;17(6):435 [4] Planta Med 1982;45(4):245 [5] 南京药学院学报 1982;1:15 [6] Chem Pharm Bull 1984;32(6):2117 [7] Phytochemistry 1983;22(1):314 [8] 中草药 1984;15(8):375 [9] 中药大辞典.下册.上海人民出版社,1977:1728 [10] CA 1979;90:83620j [11] CA 1984;101:20590z [12] 中草药学.下册.江苏科学技术出版社,1980:1033

【药理】:

❶ 抗病原微生物作用 早年曾有报道穿心莲水浸剂对金黄色葡萄球菌、大肠杆菌无抑制作用[1]

后来有许多报道水提物在高浓度时有一定抗病原微生物作用[2~13]。如煎剂1∶16~1.4对绿脓杆菌、变形杆菌、金黄色葡萄球菌[2],1∶20对伤寒杆菌、宋氏痢疾杆菌[3]有抑制作用;1∶40对孤儿病毒ECHO11引起的人胚肾细胞的退变有延缓作用[5];煎剂中分离的粗结晶1∶5000对爪哇型、猪型等8种钩端螺旋体有抑制作用,高浓度时可使之溶解[6]。水提物进一步分离的糖浆物、有机酸部分、黄酮体部分也均有一定抑菌作用,尤以黄酮体部分作用强,对痢疾杆菌等致病菌的抑菌浓度为2.5~5mg/ml,但是临床上对菌痢疗效不佳[14]。水不溶的内酯化合物及其水溶性制剂几无抗病原微生物作用,但临床上对多种感染性疾病有较好疗效。实验表明,穿心莲甲、乙、丙、丁素及它们的多种水溶性衍生物,体外均无有意义的抗菌作用,动物大剂量注射后,不同时间取血测定均未发现它们能在体内转变为有高度抗菌活性的物质。用兔肝、肾、肺组织孵育后,也不能增加各种穿心莲内酯的抗菌作用。在动物感染肺炎球菌、金黄色葡萄球菌、大肠杆菌、痢疾杆菌、绿脓杆菌及钩端螺旋体的实验治疗中也均未显示有保护作用[4,15~18]。穿心莲乙素1∶500对流行性感冒杆菌、大肠杆菌等呼吸道及肠道感染的常见菌均无抑制作用;1∶5000不能抑制流感病毒;1∶2000对钩端螺旋体有抑制作用,但浓度太高,无治疗意义。

感染钩端螺旋体的金地鼠每8h ig1次穿心莲乙素1.2g/kg,连续34次,未见有保护作用[16]

但眼部感染肺炎球菌引起角膜炎的家兔iv穿心莲内脂磺化注射剂每日50~100mg连续5~14d能明显缩短病程、加速炎症消退[4,20]
❷ 对免疫功能的影响 兔每日iv穿心莲内酯磺化注射剂100mg/只,连续5d,可使血中性粒细胞吞噬金黄色葡萄球菌的能力增强[4]
❸ 解热作用 兔ig穿心莲甲、乙、丙素1~2g/kg[16,22],ip 20%新炎得平(含穿心莲内酯及黄酮)5ml/只[19]或炎宁-3(脱水穿心莲内酯琥珀酸半酯及其亚硫酸氢钠加成物的混合物)100mg/kg[17]对内毒素引起的发热均有解热作用。

兔ip穿心莲乙或丙素150mg/kg均能抑制和延缓肺炎双球菌和溶血性乙型链球菌所引起的体温升高,以乙素作用稍强[21]。大鼠ig穿心莲甲、乙、丙或丁素1g/kg对2,4-二硝基酚所致发热均有一定退热作用,丁素效果最强,乙素最弱[22]

❹ 抗炎作用 大鼠ig穿心莲甲、乙、丙或丁素1g/kg对蛋清性足肿均有一定对抗作用,丁素作用最强,乙素仅于给药后2h内有抑制作用,效果最差[22],而乙素剂量增至2或4g/kg时,ig后6h还能明显抑制蛋清性足肿[16]

ip脱水穿心莲内酯琥珀酸半酯(DAS)125或250mg/kg也可显著对抗大鼠蛋清性足肿[23]

但对去双侧肾上腺的大鼠,穿心莲甲、乙、丙、丁素及DAS的抗蛋清性足肿胀作用均消失[22,23]。小鼠ig甲、乙、丙、丁素1或2g/kg,sc炎宁-3250mg/kgDAS100或250mg/kg对二甲苯或组胺引起的毛细血管通透性增加均有对抗作用[16,17,22,23]

乙素4~6g/kg ig对蛋清所致小鼠皮肤血管通透性增加也有抑制作用[16]。小鼠ig甲、乙、丙、丁素1g/kg,sc DAS250mg/kg还能抑制醋酸所致腹腔毛细血管通透性的增加[22、23]

大鼠连续5d每日ig甲、乙、丙素1g/kg,tp连续6d每日ip DAS125mg/kg对巴豆油所致炎性渗出有明显减少作用,但对渗液的血性性质及肉芽囊壁重均无明显影响[17,22,23]

大鼠ig甲、乙、丙素每日2g/kg,连续5d,或ip DAS每日125mg/kg连续6d对棉球肉芽肿也无明显影响[22,23]。炎灶内注射甲、乙、丙、丁素,前3者可明显抑制白细胞向炎灶游走,而丁素(初期炎症时效果最好)无效[22]
❺ 对垂体-肾上腺皮质系统功能的影响 幼年小鼠ig丁素1g/kg或甲、乙、丙素4g/kg,ip DAS63~250mg/kg,每日1次,连续3d;幼年大鼠ip炎宁-3每日250mg/kg,连续4d均可引起胸腺萎缩,提示有增强肾上腺皮质功能的作用[17,22,23]

大鼠ip炎宁-3 250mg/kg,每8h1次,连续3次,大鼠ip DAS125~250mg/kg×1~5d均能明显降低肾上腺维生素C含量[17,23]。连续5d,每日ip DAS250mg/kg的大鼠垂体前叶中ACTH含量略高于对照组。DAS降低肾上腺中维生素C含量的作用切除垂体后即完全消失,对切除肾上腺的幼年大鼠DAS不能延长其存活时间。

提示DAS本身无肾上腺皮质激素样作用,但能兴奋垂体前叶功能,促进ACrH的合成和释放,从而增强肾上腺皮质功能,大鼠用戊巴比妥钠麻醉后,DAS仍可使肾上腺中维生素C含量降低,但在戊巴比妥麻醉的基础上,吗啡、地塞米松、氯丙嗪等均可完全阻断DAS降低肾上腺中维生素C含量的作用,表明DAS兴奋神经-垂体-肾上腺皮质系统的作用部位可能在皮层下中枢[23]

❻ 对心血管和血液系统的作用 大鼠ip根总黄酮200mg/kg×3d能明显抑制异丙肾上腺素引起的心肌对169镱的摄取率增加;ig给药2d后,分别给予300mg/kg和600mg/kg可降低异丙肾上腺素所致大鼠ST段下移的总mV数,减少病理性Q波的出现数目,组织检查,心肌损伤程度比对照组轻。兔高位双重结扎冠状动脉左前降支,然后iv总黄酮120mg/kg,亦能降低ST段的抬高,减少病理Q波出现的数目和N-BT染色显示的心肌梗塞面积的百分率[24]

实验性冠状动脉血栓性心肌梗塞犬iv总黄酮4g(相当于生药)/kg,可显著改善心外膜心电图,病理检查,冠脉内未见血栓形成,受损冠脉内膜处仅见内膜脱落和少许血小板聚集及红、白细胞粘著,大多数动物心肌切片正常,血清CK-MB未见明显变化[25]。穿心莲根提取液5g/kg iv,使犬急性心肌缺再灌注损伤减轻[36]。水提物(煎剂加乙醇去沉淀)对大鼠后肢血管有舒张作用[37]

体外实验,总黄酮0.125mg/ml即能明显抑制ADP诱导的人血小板聚集,在0.125~1.0mg/ml范围内作用强度与剂量呈正相关。

0.1~5.0mg/ml还可使优球蛋白溶解时间明显缩短[26]。心肌梗塞犬iv总黄酮4g(生药)/kg,也可使ADP诱导的血小板聚集性降低,优球蛋白溶解时间缩短,并可使血中TXB2含量降低、6-酮-PGF明显升高,血小板cAMP也升高。

提示总黄酮抑制血小板聚集及血栓形成的作用与抑制TXA2的产生,促进血管壁内皮PGI2的生成与释放,刺激血小板cAMP升高及促进纤溶有关[25]
❼ 抗蛇毒与毒蕈碱样作用 小鼠(25g)ip穿心莲提取物(90%乙醇提取物水溶部分)50或100mg/只均能非常显著地延长眼镜蛇毒中毒所致呼吸衰竭和死亡的时间。该提取物可使犬血压下降,毒扁豆碱可增强此作用,而阿托品则可阻断之。抗组胺药及β-受体阻断剂对此无影响。

提取物可引起在体蛙心的抑制,此作用也可被阿托品阻断。对于豚鼠回肠,提取物可使其收缩,毒扁豆碱和阿托品分别可增强和阻断此作用,而抗组胺药也无明显影响。

对蛙腹直肌,提取物不产生任何作用。表明穿心莲提取物对烟碱受体活性无影响;抗蛇毒作用可能与毒蕈碱样作用有关[27]

❽ 终止妊娠作用 穿心莲具有明显的终止妊娠作用,曾有报道以穿心莲喂饲大鼠有避孕作用[28]

临床上穿心莲曾用于中期妊娠引产[29]。小鼠每日ip穿心莲煎剂10g(生药)/kg,连续2d,有显著的抗著床及终止早、中、晚期妊娠作用,每日im(12.5g/kg)、sc(12.5g/kg)、ig(25g/kg)、iv(6.25g/kg),连续2d或宫腔注射(2.5g/kg)1次也均能终止早期妊娠,其中以ip、iv效果最好,宫腔注射效果也佳,且用量小。对早期妊娠兔有同样作用,穿心莲苦味素和穿心莲内酯丁二酸单酯钠盐也有终止妊娠作用[30~32]

❾ 保肝作用 穿心莲叶提取物及穿心莲乙素能抑制大鼠肝微粒体苯胺羟化酶、N脱甲基酶和O-脱甲基酶,这种抑制作用是非竞争性的[33]。大鼠ig乙素100mg/kg能抑制四氯化碳、D-半乳糖胺或醋氨酚引起的血清谷草转氨酶、谷丙转氨酶、碱性磷酸酶、胆红素和肝甘油三酯的升高。显示保肝作用[34]
❿ 其它作用 穿心莲乙醇提取物对大肠杆菌肠毒素引起的腹泻有对抗作用[35]。临床上对恶性滋养叶细胞瘤有一定疗效[38]。煎剂对离体兔十二指肠有抑制作用[37]

脱水穿心莲内酯琥珀酸半酯等对W256和肿瘤细胞有抑制作用[48,49]。 ⑾体内过程 用36S标记的穿心莲内酯亚硫酸氢钠加成物在大鼠身上的实验表明,iv(460mg/kg)后2h即可迅速透过血脑屏障,选择性地蓄积于脊髓,呈下行性定位。

在脏器内的分布以直肠与肾脏为最多。

72h后血中仅残留原药液浓度的2.9%,主要以原型经尿排泄[39]。用3H-穿心莲内酯在小鼠的实验表明,iv(0.33mg/只)与ig(0.66mg/kg)给药的药代动力学变化均属于开放型两隔室模型。iv组的药代动力学参数为:分布相半衰期t1/2 α 0.06h,消除相半衰期t1/2β 4.695h,总表观分布容积Vd0.1997L/kg,消除率1.878L/h/kg;ig组吸收相半衰期0.106h,t1/2 α 0.15h,t1/2 β 1.07h,峰浓度时间30.75min,峰浓度值16.0μg/ml,48h内的生物利用度44.06%。

ig给药直接观察小鼠体内过程,结果与血药时程曲线的参数计算结果基本一致。药物主要以代谢产物形式排出,从尿中排出的只有10%左右的原型物[40]。兔或大鼠iv脱水穿心莲内酯琥珀酸半酯单钾盐(DAS-K)血药时程曲线也可用二室开放性模型描述[41,47];兔ig给药利用率极低,可能为ig后被胃酸破坏或被肝脏代谢所致[41];大鼠im 150mg/kg后所得药时数据可拟合开放性一室模型,吸收快而完全[47]

毒性 小鼠ig穿心莲甲、丙、丁素的MLD分别大于20,30,20g/kg[22],乙素MLD大于40g/kg[16,42,43]

小鼠iv穿心莲内酯磺化物[42],穿心莲内酯亚硫酸氢钠加成物[43],穿心莲内酯亚硫酸钠加成物[44],脱氧穿心莲内酯和穿心莲甙与亚硫酸钠加成物的混合物[45]和总黄酮[24]的LD50分别为0.693~0.900,2.70,1.075~1.145,1.95~2.09,2.2,1.15±0.28g/kg。小鼠ip炎宁-3的LD50为1.344~1.390g/kg[17]。穿心莲苦味素iv于兔10mg/kg,对心率、呼吸、血压、心电图、血清谷丙转氨酶及主要脏器的形态结构均无明显影响。未孕及中期妊娠兔宫腔内给药30mg/kg,对子宫内膜形态结构也无明显影响[44~46]

兔及犬分别iv炎宁-3 0.552~1.250,1.0g/kg无明显异常出现[17]

穿心莲乙素ig给药,大鼠1g/kg×7d,兔0.5或1.0g/kg×6d对体重、血象、肝肾功能及主要脏器的组织切片均无明显影响。

健康人po穿心莲乙素每次0.5g,1日4次,连续4d,前2次加倍,可使部分人血清谷丙转氨酶暂时升高,停药后逐渐恢复;而每日3次,每次0.3g连服5d则对肝、肾功能均无明显影响[[6]

参考文献 [1] Br J Exp Pathol 1943;24:227 [2] 医药卫生(福建省卫生局) 1971;(1):49 [3] 科技简报(医药卫生) 1978;(4):36 [4] 新药与临床 1982;(1):3 [5] 卫生防疫资料(辽宁) 1972;(1):62 [6] 中草药研究资料(四川省中药研究所)1971;(6):4 [7] 新医学资料(徐州医学院) 1971;(1):27 [8] 资料选编(张家口地区医专) 1972;(1):21 [9] 山东医药工业 1973;(1):27 [10] 湖北科技(医药部分) 1972;(6):37 [11] 卫生简迅(广西百色卫生局) 1972;(6):15 [12] 医药资料(贵州省卫生局) 1973;(4):30 [13] 中草药1986;17(9):10 [14] 新医药学杂志 1973;(9):23 [15] 中草药通讯 1978;(10):27 [16] 四川中草药通讯 1975;(1):21 [17] 中草药通讯 1978;(8):26 [18] 中草药通讯 1979;(2):29 [19] 福建医学院学报 1986;20(1):6 [20] 中草药通讯 1978;(8):30 [21] 中草药通讯 1974;(3):46 [22] 药学通报 1982;17(4):195 [23] 药学学报 1980;15(10):590 [24] 中草药 1987;18(7):315 [25] 中国循环杂志 1991;6(5):407 [26] 中西医结合杂志 1989;9(9):540 [27] Indian J Pharm Sci 1978;40(4):[32 [28] Lancet 1978;2:900 [29] 广东医药资料 1977;(1):28 [30] 生理学报 1978;30(1):75 [31] 动物学杂志 1986;21(6):22 [32] 北京医学院学报 1979;(2):79 [33] C A 1987;107:51330t [34] 国外医学药学分册 1990;17(4):235 [35] C A 1991;114:156941r [36] 中药药理与临床 1993;9(4):17 C A [37] J pharm pharmacol 1962;14(9):556 [38] 中华医学杂志 1977;(12):755 [39] 中成药研究 1978;(2):15 [40] 中草药 1982;13(9):417 [41] 华西药学杂志 1991;6(3):129 [42] 中草药通讯1976;(3):10 [43] 医药工业 1976;(1):24 [44] 中草药通讯1976;(11):9 [45] 中草药通讯 1979;(7):6 [46] 北京医科大学学报 1988;20(6):422 [47] 中药药理与临床 1990;6(1):38 [48] 中药药理与应用.人民卫生出版社,1983:827 [49] 实用中西医结合杂志 1991;1(4):51。

【药性】:

性味 《泉州本草》:“苦,寒。”

归经 《泉州本草》:“入心、肺二经。”

功效 清热解毒,凉血消肿。

主治 急性菌痢,胃肠炎,感冒,流脑,气管炎,肺炎,百日咳,肺结核,肺脓疡,胆囊炎,高血压,鼻衄,口咽肿痛,疮疖痈肿,水火烫伤,毒蛇咬伤。 ❶ 《岭南采药录》:“能解蛇毒,又能理内伤咳嗽。”
❷ 《泉州本草》:“清热解毒,消炎退肿。治咽喉炎症,痢疾,高热。”
❸ 广州部队《常用中草药手册》:“治急性菌痢,胃肠炎,感冒发热,扁桃体炎,肺炎,疮疖肿毒,外伤感染,肺结核,毒蛇咬伤。”
❹ 《江西草药》:“清热凉血,消肿止痛。治胆囊炎,支气管炎,高血压,百日咳。”
❺ 《常用中草药彩色图谱》:“清热消炎,止痛止痒,解蛇毒。治腮腺炎,结膜炎,流脑。”
❻ 《广西中草药》:“止血凉血,拔毒生肌,治肺脓疡,口腔炎。”
❼ 广州空军《常用中草药手册》:“治鼻衄,口腔出血。”
❽ 《福建中草药》:“清热泻火,治肺结核发热,热淋,鼻窦炎,中耳炎,胃火牙痛,汤火伤。”

用法用量 内服:煎汤,9~15g;或研末。

外用:煎汁涂或研末调敷。

使用注意 《中草药新医疗法选编》1972、新医学 1972;(7):“据部分地区的不完全统计,穿心莲注射液肌肉注射后发生过敏的已有10余例。反应剧烈表现为胸闷、气急、面色苍白、口唇青紫、出冷汗、脉搏细弱、血压下降等。

反应轻的一般表现为腹痛、呕吐、哮喘、荨麻疹、丘疹、头晕、头胀、喷嚏等。出现反应的时间有即时的,也有注射后5~20分钟出现的。经抢救后,一般在5~45分钟内逐渐好转,个别的经24小时始恢复。”

【临床应用】:

配伍应用 ❶ 配地骨皮、桑白皮、黄芩,治肺热咳喘。

❷ 配鱼腥草、桔梗、冬瓜仁,治肺痈、咳吐脓痰。
❸ 配大青叶、牛蒡子,治咽喉肿痛。
❹ 配十大功劳、马齿苋,治泻痢。

❺ 配白茅根、大小蓟、车前草,治热淋。

❻ 配银花、桔梗、牛蒡子,治温病初起,发热、咽痛肿胀之证。
❼ 配虎杖、车前子、白茅根,治热淋,尿频涩痛。

❽ 配银花、黄芩,治肺热咳嗽,咽喉肿痛(如上呼吸道感染、扁桃体炎、支气管炎、大叶性肺炎等)。
❾ 配金银花、野菊花、七叶一枝花、白花蛇舌草,治疮疖肿毒,外伤感染及毒蛇咬伤。

方选和验方 ❶ 江西《草药手册》:“治大叶性肺炎:穿心莲18g,梅叶冬青30g,麦门冬15g,白茅根30g,金银花15g。水煎,分2次服,每日1剂。”
❷ 江西《草药手册》:“治肺结核(轻症)发热:穿心莲15g,十大功劳叶15g,丰城鸡血藤30g。水煎,分2次服,每日1剂,15~30天为1疗程。


❸ 《江西草药》:“治胆囊炎:穿心莲15g,六月雪60g,大青根45g,黄栀子根30g,虎刺30g,阴行草30g。水煎服。如食欲不振,加野山楂果(炒)60g。


❹ 江西《草药手册》:“治疖肿,蜂窝组织炎:三颗针15g,穿心莲15g,金银花9g,野菊花9g,七叶一枝花6g。水煎服。”
❺ 江西《草药手册》:“治毒蛇咬伤:穿心莲30g,七叶一枝花15g,狭叶韩信草30g,白花蛇舌草30g。每日1~2剂,水煎服。”
❻ 消炎利胆片(中草药通讯 1977;(12)治疗急性胆囊炎、胆道炎及肝胆结石并发感染:穿心莲868g,山熊胆868g,溪黄草868g,共制成1000片。

口服1次6片,1日3次或遵医嘱。

❼ 《全国名老中医验方选集》:“治疗遗精:龙胆草、炒柴胡、穿心莲各5g,炒当归、炒黄芩、焙丹皮各12g,大生地、炒白芍各24g,川楝子、焦山栀、川黄柏各10g,茯苓18g。水煎服。”
❽ 《常用中草药手册》:“治疗毒蛇咬伤:扛板归15g,穿心莲6g。共研末,米酒120g,慢火煎沸5分钟取出。分2次服,每次隔半小时,能饮酒的一次饮下。或浸酒备用,每次用酒30~60g内服,药渣外涂伤口周围。


❾ 《常用中草药手册》:“治疗毒蛇咬伤后,头晕眼花,胸闷作呕,伤口红肿疼痛或不痛而觉麻痹者:金耳环12g,红花12g,两面针9g,穿心莲9g,寮刁竹15g,吴茱萸12g,白芷15g,川连、细辛各9g。共研细末,每天服3次,每次9g,开水送服。外用以开水调药末涂伤口周围。


❿ 《常用中草药手册》:“治疗肺结核:穿心莲12g,十大功劳12g,牛大力30g。水煎服,每日1剂。

15~30天为1疗程。” ⑾《常用中草药手册》:“治疗支气管炎:穿心莲6g,羊蹄草9g,三桠苦15g,银花藤15g,救必应6g,甘草3g。水煎服,每日1剂。”

单方应用 ❶ 《常用中草药手册》:“治疗细菌性痢疾:榄核莲9~15g。水煎服,每日1剂,5~7天为1疗程。”
❷ 《常用中草药手册》:“治肺脓疡:榄核莲(鲜)30g,水600ml煎至200ml,每日1剂,2次服。”
❸ 《福建中草药》:“治细菌性痢疾,阿米巴痢疾,肠炎:穿心莲鲜叶10~15片。水煎调蜜服。”
❹ 《福建中草药》:“治流行性感冒,肺炎:一见喜干叶研末。每次3g,日3~4次。”
❺ 《福建中草药》:“治肺结核(轻症),发热:一见喜干叶研末,蜜丸梧桐子大。每次15~30粒,日2~3次,开水下。”
❻ 《福建中草药》:“治鼻窦炎,中耳炎,结合膜炎,胃火牙痛:鲜一见喜全草9~15g,水煎服。或捣汁滴耳。”
❼ 《福建中草药》:“治口腔炎、扁桃体炎:一见喜干叶研末,3~4.5g。调蜜,开水冲服。


❽ 《福建中草药》:“治热淋:鲜一见喜叶10~15片。捣烂,加蜜,开水冲服。”
❾ 《福建中草药》:“治汤火伤:一见喜叶研末调茶油或鲜叶煎汤涂患处。”
❿ 《福建中草药》:“治毒蛇咬伤:一见喜鲜叶捣烂调旱烟筒内的烟油外敷;另取鲜叶9~15g,水煎服。” ⑾江西《草药手册》:“治急性菌痢,胃肠炎:穿心莲9~15g,水煎服,每日1剂,2次分服。” ⑿江西《草药手册》:“治急性阑尾炎:野菊花30g,一见喜15g。水煎,每日2剂分服。” ⒀江西《草药手册》:“治阴囊湿疹:一见喜30g。甘油加至100ml,调匀涂患处。

” ⒁《泉州本草》:“治感冒发热头痛及热泻:一见喜研末。每次0.9g,日服3次,白汤送下。” ⒂《江西草药》:“治支气管炎、肺炎:穿心莲叶9g。水煎服。” ⒃《江西草药》:“治百日咳:穿心莲叶3片。水泡,蜂蜜调服,日3次。” ⒄《江西草药》:“治高血压(充血型):穿心莲叶5~7片。开水泡服,1日数次。” ⒅《江西草药》:“治咽喉炎:穿心莲(鲜)9g。嚼烂吞服。” ⒆《常用中草药手册》:“治菌痢,胃肠炎,感冒,流感,流脑,百日咳,扁桃体炎,咽喉炎,鼻衄,口腔出血,高血压,肺炎,肺脓疡,腮腺炎,结合膜炎,疖肿,毒蛇咬伤:每用9~15g,水煎服。干粉1.53g每日3次,水冲服。外用鲜草捣烂调酒涂敷患处。

” ⒇《全国中草药新医疗法展览会技术资料选编·外科疾病》:“治疗皮肤化脓性感染创面:穿心莲叶研末,制成1∶4水溶液,浸纱布外敷创口。” (21)新医学 1971;(2):“治疗化脓性中耳炎:制成滴耳剂局部应用,同时内服穿心莲片剂。” (22)中草药研究资料 1971;(6):“治疗钩端螺旋体病:用穿心莲叶提取的有效成分,制成0.05g片剂。每片含结晶物质20mg,成人每次0.1~0.2g,日服4~6次。

” (23)医药科技资料 1972;(2):“预防钩端螺旋体病,成人每天3g(按干粉计),1次顿服或2次分服。每周连服3天,共服5周。” (24)《医药卫生科研工作经验交流会资料选编》(湖南)1972:“治疗急性黄疸型肝炎:用穿心莲干叶制成的100%注射液。每日肌注1次,每次2ml。

同时用干叶粉压制成的片剂口服,每片0.2g,每次2~4片,日服3次。” (25)《新医药资料选》江西1970:“治疗肺炎及其他呼吸道炎症:采用穿心莲肌注,成人每日2~4次,每次2ml(每1ml含生药4g)。待症状明显好转后改为8~12小时肌注1次。” (26)武汉新医药 1971;(1):“治疗小儿消化不良和菌痢:用20%穿心莲注射液行穴位注射,每日1次。2岁以下每日2ml,2~7岁3ml,7岁以上4ml。穴位分两组:1)足三里、长谷;2)上巨虚、止泻(脐下2寸半)。

每日交替选用一组,每穴注射全量的1/2。” (27)医药科技动态 1971;(4):“治疗小儿乙型脑炎。对轻症病例,2~4岁每日用穿心莲6g,狗肝菜6g(均为干品)煎服。

5~10岁剂量加倍,服时另加白糖矫味。

” (28)皮肤病防治研究通讯 1972;(3):“治疗麻风:初期每天16~24片(每片含原生药1g),后期每天24~48片,均为4次分服。亦可肌肉注射每天4~5ml,或口服胶囊每天6~24粒(每粒0.3g)。

” (29)医药科技动态 1972年;专刊:“治疗血栓性脉管炎:制成穿心莲静脉注射液,每支20ml,含生药70~100g。采用动脉及静脉交替注射方法。第1天选患肢股动脉或肱动脉,快速推注穿心莲20~40ml,注后压迫3~5分钟。第2天在患肢病变部位上约30cm处,用一脉压带压迫注射处上段(以暴露静脉及阻挡药液向心回流),针头采用离心方法将药液2040ml逆行注入静脉内。

然后根据病人耐受程度,保留脉压带继续压迫10~20分钟。在推药及压迫过程中,病人肢端有不同程度的胀麻感,均属正常。

如此交替进行,10天为1疗程,休息2~3天后再继续下1疗程。应坚持治疗3~6个月。” (30)皮肤病防治研究通讯 1972;(2):“治疗神经性皮炎、湿疹:内服穿心莲片剂,日服3~4次,每次3~4片。7天为1疗程,必要时可给2~3疗程,同时配合局部治疗。

” (31)浙江中医杂志 1983;(6):“治疗肺炎等急性热病:用穿心莲内酯注射液静脉滴注,每次600~1200mg,加入5%葡萄糖1000ml内,连续使用3天。” (32)中兽医医药杂志 1987;(1):“防治奶牛隐性乳房炎:用穿心莲黄连素甘油水溶液,对检出的隐性乳房炎阳性乳区作浸泡治疗试验。结果试验组按头计算总有效率达91.7%,对照组仅为8.3%。” (33)中医肛肠病杂志 1987;(4):“治疗慢性溃疡性结肠炎:内服炎得平(穿心莲),每日2~3次,每次4~8粒。每日排便后用芒硝30g冲水坐浴,在直肠镜下用锡类散涂敷溃疡处。

治疗18天,每日排便1次,无脓血及粘液,溃疡面愈合,治愈1例。” (34)湖北中医杂志 1990;(3):“治疗咳嗽:用穿心莲注射液4ml,以5号注射针头分别刺于双侧定喘穴(大椎穴旁开0.5寸),得气后抽动,若无回血即推药。配针刺大椎,肺俞(双),列缺(双)。

鼻塞者配刺攒竹、迎香;痰多者配刺丰隆,风热咳嗽配刺尺泽。每日1次,大椎穴得气后不留针,余穴留针30分钟。” (35)新医学 1984;(9):“治疗慢性鼻炎、鼻窦炎:穿心莲糖衣片,每片含穿心莲千浸膏0.3g。疗法:每次服6片,每日3次,10天为1疗程,治疗3个疗程。

” (36)成都医药 1987;(4):“治疗婴幼儿秋冬季腹泻(多为病毒性):穿琥系穿心莲叶中提取的有效成分,用穿琥15~20mg/(kg·d)溶于0.9%氯化钠20~30ml中,行一次性直肠灌注,保留半小时至1小时排便。有脱水者按脱水程度和性质予以静脉补液。

” (37)癌症 1984;(3):“治疗绒癌与恶葡:用穿心莲溶液(内含1%氯仿提取物),每次100~150ml,稀释于等量5%葡萄糖溶液中,静脉滴注,每日一次。因无明显毒性反应,故未作具体的疗程间隔。

对有脑或盆腔转移病例,除全身治疗外,同时经颞浅动脉或腹壁下动脉插管给药,每日1次,每次100ml。阴道转移结节,亦可作局部注射,每日或隔日1次,每次10~15ml。

” (38)临床皮肤科杂志 1984;(6):“治疗湿疹急性期患者,皮损分布广泛,有不同程度糜烂、渗液和剧烈瘙痒:每日1次,每次40mg,10次为1疗程,可连续数个疗程。” (39)浙江中医学院学报 1979;(3):“治疗急性扁桃体炎:取2ml或5ml注射器及6号或61/2号针头,抽取穿心莲注射液2ml,于双侧足三里处,皮肤消毒后,直刺入深约2~4cm,经回抽无血.再将药物注入。每个穴位1ml,每日1次,3次为1疗程。”

随便看

 

离鸟网收录3541549条中英文词条,其功能与新华字典、现代汉语词典、牛津高阶英汉词典等各类中英文词典类似,基本涵盖了全部常用中英文字词句的读音、释义及用法,是语言学习和写作的有利工具。

 

Copyright © 2004-2024 vtrois.com All Rights Reserved
更新时间:2026/4/18 13:41:22