网站首页  词典首页


请输入您要查询的字词:

 

字词 空间周期解
类别 中英文字词句释义及详细解析
释义 空间周期解

微分方程

其中f(x)是Rn→Rn的连续函数,f(t,x)是RtxRn→Rn的连续函数,且f(t+w,x)=f(t,x),w为正常数。

方程(1)称为自治系统,方程(2)称为非自治系统。空间周期解是系统(1)和系统(2)当n≥3时的周期解。

空间周期解是空间定性理论的一个重要方向,是近30年来发展十分活跃的一个新分支。

其研究的基本问题是周期解的存在性、不存在性、唯一性和稳定性。

这项研究工作不仅有重要的理论意义,而且有广泛的应用前景。高维(n≥3)系统比二维(n=2)系统的研究更复杂,内容更丰富,实际问题中又不断提出由高维系统所描述的数学模型,而空间周期解往往对应著一种重要状态(例如耗散结构)。因此,空间周期解是当前定性理论研究的热点之一。

二维情形,对自治系统(1)建立的Poincare-Bendixson定理及其推论——环域原理;对非自治系统(2)建立的J.L.Massera定理及其在此基础上的J.L.Lassalle定理,是判断周期解存在性(唯一性)的主要依据。

20多年前,人们一直试图将平面周期解理论推广到高维空间,得到与平面周期解理论相应的空间周期解理论。但是,对高维情形,1950年J.L.Massera对系统(2)构造的反例和1974年P.A.Schweitzer对系统(1)构造的反例说明,尽管高维系统满足二维系统对应的条件,但并不能保证空间周期解的存在性。

所以,对空间周期解的研究必须寻求其它途径。

数学家们在实际问题的研究中,经过不断的长期探索和总结,借助Brouwer不动点定理,对高维自治系统(1)周期解建立了一个重要原理——环区原理:设系统(1)由环区G的边界出发的轨线当t→∞时,进入G的内部。

G有一个(n-1)维“截面”Sn-1,它是t=0时穿过它的一切轨线的局部横截面,而且每一轨线x(t,p),P∈Sn-1,当t=w(p)>0时,返回Sn-1,即x(w,p)∈Sn-1,则G包含系统(1)的周期解。

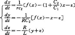
多年来,对高维自治系统(1)周期解的研究主要依靠环区原理。早在1950年以前,L.L.Rauch通过构造正向不变环区和使轨线“转动”的方法研究了一个非线性振荡电路的三维自治系统:

运用环区原理的思想,成功地解决了该系统非常数周期解的存在性问题。

应用环区原理的关键之一是保证系统(1)之轨线在环区中“转动”。1956年,前苏联数学家Heuычлл采用Лялyнов旋转函数法给出了系统(1)之轨线在环区内“转动”的充分条件。1960年Блинлcьcкии提出了轨线在环区中“分段转”的思想。另一个关键是构造正向不变环区。1977年Grassman应用Brouwer映射度理论,通过构造正向不变球体找出一组系统(1)周期解存在的充分条件。

应用环区原理研究空间周期解是基本的,也是困难的,因而也发明了一些其他方法。例如,1979年张棣用泛函分析方法给出了系统(1)周期解存在的充分条件;1980年R.A.Smith利用极限集方法给出了系统(1)周期解存在定理;1980年J.G.Simai和E.B.Val用逐次逼近法推导出了Poincare映射存在不动点的一个准则,借助计算机,可用此法则发现系统(1)的周期解;1982年张锦炎用Hopf分支法得到系统(1)在原点附近有渐近稳定的周期解。

截止目前,对系统(1)周期解存在性的研究结果较多,对于它的不存在性、唯一性和稳定性的研究结果比较少。1985年党新益给出了当n=3时系统(1)周期解的不存在性定理。

对于非自治系统(2)周期解的研究主要应用泛函数分析方法,把系统(2)的周期解的研究转化为某连续函数空间上的某算子的不动点的研究,应用不动点理论证明空间周期解的存在性、唯一性。

1956年G.Sansone和R.Conti研究了具有如下形式的系统:

其中A(t)是连续的n×n矩阵函数,且

A(t+w)=A(t),g(t+w,x)=g(t,x)。

首先,对于线性系统

如果dx/dt=A(t)x无非平凡w周期解,且p(t+w)=p(t)是连续函数,则系统(4)有唯一w周期解。

其次,由〔0,w〕上连续的向量函数u(t)具有范数:

构成Banach空间C,在C的子空间

Bw={u(t);u(t)∈c且u(0)=u(w)}

中定义算子T∶Bw→Bw如下:

对于任何u(t)∈Bw,Tu(t)定义为线性系统

的唯一w周期解,如果T有不动点U0(t),则U0(t)为系统(3)的w周期解。T的具体表达式为

其中G(t,τ)为由dx/dt=A(t)x的标准基解矩阵所决定的Green矩阵。

应用Schauder不动点定理有以下结果:

如果存在一个正数R,使得关系式:

成立,则系统(3)至少有一个w周期解。

1964年A.Lasota和Z.Opial应用Schouder不动点定理研究了系统

其中A(t,x)是n×n矩阵函数,且

A(t+w,x)=A(t,x),g(t+w,x)=g(t,x),w>0,

得到如下结论:

设(a)、M*是由矩阵A(t)=A(t+w)构成的一个有界弱紧集,且对任何A(t)∈M*,系统dx/dt=A(t)x无非平凡w周期解;(b)对任何u(t)∈Bw,A[(t,u(t)]∈M*,且有

λ为M*决定的正常数,则系统(5)至少有一个w周期解。

1984年张棣建立了系统(3)w周期解存在的区域定理和环域定理。

1985年赵晓强应用kakytani集值映射不动定理,建立了系统(5)w周期解存在的一般性定理:

如果(a)、g(t,x)、A(t,x)连续;(b)存在M>0,使得对任何u(t)∈SM={u(t)∈Bw;‖u(t)‖≤M},方程dx/dt=A(t,x)x+g(t,u(t))在SM中有w周期解,则系统(5)至少有一个w周期解。

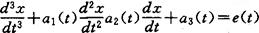
1986年王联、王慕秋研究了一个三阶线性周期缓变的强迫振荡方程

其中ai(t)、e(t)(i=1,2,3)为连续的以2π/w为周期的可微函数。

通过构造Лялyнов函数得到了2π/w周期解存在、唯一、稳定的定理。

1989年R.Campanini研究了系统(2),设系统(2)存在解x(t)使得序列{x(nw)}是有界的,且x(t)是w渐近稳定的,则系统(2)存在w周期解。

1990年S.A.Vavilov研究了拟线性方程

其中A(t)、F(t)、f(t,x)皆是关于t以w为周期的函数,ε为小参数。将上述方程周期解的存在性问题化归成代数方程的可解性问题,当|ε|<ρ时,(ρ为充分小的正数),给出了此方程w周期解存在的充分条件。

另外,R.Z.Reissing曾建立了如下定理,如果系统(2)有一个全局渐近稳定解,则系统(2)至少有一个w周期解。

A.Halanay也曾证明这样的定理:系统(2)存在一个w周期解的主要条件是它存在一个有界解x(t)满足:

目前,由于计算机的迅猛发展,近似计算和数字模拟在空间周期解的研究中引起了人们的重视,并已成为空间周期解研究的热点之一。

因此,对系统(1)周期解的最小周期的估计具有非常重要的意蚁。1989年S.Busenberg对Ligschitz系统周期解的最小周期作出了较好的估计。

1991年高占海对三维核自旋器自治系统周期解的最小周期作出了较满意的估计。空间周期已在一些实际问题(例如生物学、化学等)中得到成功的应用,近年来,它在自动控制、非平稀统计物理学等方面的应用也渐见广泛。我们相信通过国内外有关专家和学者的共同努力,空间周期解理论将会取得更大进展和日趋完善,并将展示出其更加广泛的应用前景。

。【参考文献】:

1 Massera J L .Duke Math J, 1950,17:357~475

2 Nemytskii V V. Trudy Moskow Math Obshch, 1956,5:455 ~482

3 Blinchevskii VS. MathSb,1960,50:117~126

4 Schweitzer P A. Am Math, 1974,100:383~400

5 王联,王慕秋.西北大学学报, 1986,1:1~11

6 Zhang Di,Annof Diff. Eqs,1989,5(4):503~511

7 Vavilov S A.Soviet Math Dokl,1990,41(3):486~489

(西北大学张棣教授、高占海副教授撰)

随便看

 

离鸟网收录3541549条中英文词条,其功能与新华字典、现代汉语词典、牛津高阶英汉词典等各类中英文词典类似,基本涵盖了全部常用中英文字词句的读音、释义及用法,是语言学习和写作的有利工具。

 

Copyright © 2004-2024 vtrois.com All Rights Reserved
更新时间:2026/4/19 3:39:08