网站首页  词典首页


请输入您要查询的字词:

 

字词 稳态性能
类别 中英文字词句释义及详细解析
释义 稳态性能

稳态误差是描述系统稳态性能的一种性能指标,通常在阶跃信号、斜坡信号或加速度信号作用下进行测定或计算。如果当时间趋于无穷大时,系统的输出量不等于输入量或输入量的确定函数,则认为系统存在稳态误差。稳态误差是系统控制精度或抗干扰能力的一种度量,

4.2.1 稳态误差的定义

系统的误差定义为希望输出与实际输出之差,即

E(s)=C0(s)-C(s) (1.9-52)

式中 E(s)为一误差象函数;C0(s)为一希望(理想)的输出量象函数;C(s)为一实际输出量象函数。由图1.9-38可知C0(s)=R(s)μ(s),式中μ(s)为理想系统传递函数.可以证明μ(s)=1/H(s).于是,式(1.9-52)可写成

误差本身是时间t的函数,对式(1.9-53)进行拉氏反变换,可得误差原函数e(t)为

e(t)=L-1〔E(s)〕=L-1〔Φe(s)R(s)〕(1.9-54)

误差e(t)包含暂态分量与稳态分量两部分,如果系统是稳定的,过渡过程结束后,误差信号中的暂态分量必趋于零,剩下的只有稳态分量。因此,控制系统的稳态误差可定义为误差信号的稳态分量,以ess(t)表示,即

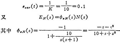
解:首先计算由输入信号单独作用时系统的稳态误差essr(t).对输入而言,系统为Ⅰ型单位反馈控制系统,其开环增益K=10。由表1.9-8可知,系统由输入信号引起的稳态误差为

将ΦaN(s)的分子分母进行长除,可求得

c0=0,c1=-0.1,c2=-0.09,c3=0.019…

扰动及其各阶导数为

n(t)=0.1sjnf,n(t)=0.1cost.n(2)(t)=-0.1sint,n(s)(t)=-0.1cost…

则系统由扰动引起的稳态误差为

esan(t)=c0n(t)++c2n(2)(t)+c3n(8)(t)+…=-0.0119cost+0.009sint=0.015sin(t-52.9°)

由于线性系统满足叠加原理,系统在输入和扰动同时作用下的稳态误差为

ess(t)=essr(t)+essn(t)=0.1+0.015sin(t-52.9°)

系统最大误差为:0.1+0.015=0.115。

随便看

 

离鸟网收录3541549条中英文词条,其功能与新华字典、现代汉语词典、牛津高阶英汉词典等各类中英文词典类似,基本涵盖了全部常用中英文字词句的读音、释义及用法,是语言学习和写作的有利工具。

 

Copyright © 2004-2024 vtrois.com All Rights Reserved
更新时间:2026/4/19 9:06:08