网站首页  词典首页


请输入您要查询的字词:

 

字词 稳定性分析
类别 中英文字词句释义及详细解析
释义 稳定性分析

(1)定义

处于平衡工作状态的系统,受到扰动作用后,其输出量偏离原来的平衡工作状态,当扰动取消后,如果系统能以足够的准确度逐渐恢复到原来的平衡状态,则称系统是稳定的,或说具有稳定性的。否则,称系统是不稳定的,或说不具有稳定性的。

稳定性是系统去掉扰动以后,自身的一种恢复能力,所以是系统的一种固有特性,它只取决于系统本身的结构和参数,而与初始条件和外作用无关。

(2)系统稳定的充分必要条件

系统稳定的充分必要条件是,系统特征方程的根(即闭环传递函数的极点)全部位于s平面的左半平面。

(3)劳斯稳定性判据

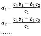
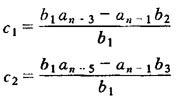
应用劳斯判据判别稳定性分两步进行:第一步,首先根据系统的特征方程编制一个行列表(称劳斯行列表);第二步,根据劳斯表第一列的元素符号来判别系统的稳定性。

劳斯行列表的编制 设系统特征方程为

ansn+an1sn-1+…+a1s+a0=0 (5.4-1)

当an>0时,劳斯表按如下方法编制

直至其余bi值全部等于零为止;

直至其余ci值全部等于零为止;

这一过程一直延续到第n+1行为止。为清楚起见,在行列表左侧第一行标出sn,第二行标出sn-1,…,最后标出s0。表中第一、二行各元素用特征方程的系数直接按表中箭头指向次序排列,第三行以后的元素由前两行各元素按上面给出的方法递推算出。在计算过程中,用正数乘以或除以同一行各元素,不改变稳定性结论。

劳斯稳定性判据的内容 系统稳定的充分必要条件是,劳斯行列表中第一列所有元素均大于零。如果第一列中出现小于零的元素,系统就不稳定。并且该列中元素符号改变的次数就等于系统特征方程位于右半s平面根的个数。

随便看

 

离鸟网收录3541549条中英文词条,其功能与新华字典、现代汉语词典、牛津高阶英汉词典等各类中英文词典类似,基本涵盖了全部常用中英文字词句的读音、释义及用法,是语言学习和写作的有利工具。

 

Copyright © 2004-2024 vtrois.com All Rights Reserved
更新时间:2026/4/21 18:35:05