网站首页  词典首页


请输入您要查询的字词:

 

字词 税收对投资的影响:卡莱茨基模型
类别 中英文字词句释义及详细解析
释义 税收对投资的影响:卡莱茨基模型

【内容介绍】:

自凯恩斯的《通论》发表以来,经济学家们的注意力主要放在商业固定投资(business fixed investment)的决定因素上,普遍认为,投资既提高了总支出水平,也增加了总生产水平。

而且,更为重要的是,投资不仅增加资本投入,还给市场带来新的技术。

然而,经济学家们就税收对商业固定投资的刺激效应问题一直争论不休,特别是新古典文献(neoclassical literature)认为,投资税收刺激对投资或投资占GDP比率的影响微乎其微(Auerbach,1983;Auerbach and Hassett,1990;Auerbach and Hassett,1991;Auerbach and Hines, 1988;DeLong and Summers,1992)。但是,这类文献都没有考察税收对投资的归宿效应,本文则根据拉莱米、麦尔、米勒和斯特拉特普鲁斯(Laramie,Mair,Miller,and Stratopoulos,1997)的分析,利用卡莱茨基模型来考察这种效应。

1.基本模型

按照卡莱茨基(Kalecki,1971/1968)的方法,假定:经济在低于充分就业状态下运行;投资决定储蓄;宏观基础决定总体利润(现金)流量和金融结构,微观基础在企业的定价行为中表现出来,影响著收入分配和税收归宿(Crotty,1992,p.494-495);企业是风险厌恶者;资本结构和竞争程度很重要。

卡莱茨基考察了新投资决策的三种决定因素,即企业家的储蓄、企业家再投资的先决条件以及创新因素。企业家储蓄E影响投资决策,这是因为资本市场的限制和风险递增所致。

企业储蓄是否用于再投资,取决于实际投资水平I与产生标准(“正常”)利润率的投资I(π)之间的关系。在“企业家的反应程度”既定的情况下,如果实际投资支出小于、等于或大于产生标准利润率的投资水平,那么,投资决策将大于、等于或小于企业储蓄。

此外,卡莱茨基还在这些决定因素之上,增加了创新引致投资决策B(t)。这个因素被表示为一种半自治函数(semi-autonomous funtion),取决于过去的经济、社会和技术的发展,并假定随著时间的推移变化缓慢。据此,固定投资决策D可以写成下式:

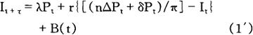
D=E+r[I(π)-I]+B(t) (1)

根据卡莱茨基(Kalecki,1971/1968)以及拉莱米和麦尔(Laramie and Mair,1993)的分析,方程式(1)可以通过下列方式改写成方程式(1′),即把企业家储蓄和产生标准利润率的投资作为当期利润水平的函数,并假定在时期t做出的投资决策转换成在t+τ时期的投资支出,因而It+τ=Dt

式中符号的经济含义是:

P——利润

λ——E/P(E代表企业家储蓄)

n——新投资获得的新利润比例

δ——折旧率(从某种意义上说,它代表技术进步导致的现有资本的利润损失比率,新资本的利润获得比率)

π——标准利润率

根据拉莱米和麦尔(Laramie and Mair,1993)的分析,当把税收制度考虑进来时,折旧率的表达式为:

δ=ω[α+tπ(1-tw-α)]/(1-tπ)(1-tw-α) (2)

式中各符号的经济含义是:

ω——技术进步利润系数

α——工资份额{(1-tw)/[(k-1)(1+j)+1]}

tπ——平均利润税率

tw——平均工资税率

现在,我们就可以利用方程式(1′)表达的投资函数来考察税收制度对投资的影响。税收制度通过利润水平和折旧率来影响投资。

2.税收对投资的影响

税收对折旧的影响 求折旧率对任一税率变化的微分,得到税收对折旧率的影响:

(3)

拉莱米和麦尔(Laramie and Mair,1993)指出,在没有税收转嫁的情况下,工资税的变化对折旧率没有影响;而当工资税转嫁时,工资税率提高将提高折旧率。利润税率(tπ)的提高将提高折旧率,而利润税转嫁将会抑制折旧率的提高。

税收对利润水平的影响 根据拉莱米(Laramie,1991)的分析,利用消费支出-税后工资总额比率推导出卡莱茨基的利润函数。

假定贸易差额是零,利润函数可以写成:

P=[1/(1-aα)][I(1-α)+αG(a-1)] (4)

式中,G代表政府购买(假定等于税收收入),a代表消费系数,即消费支出占税后工资总额的比率。

求方程式(4)对工资税率和利润税率变化的微分,得到税收对利润水平的影响,即

(5)

式中,i=w,π。

倘若不转嫁的话,工资税增加会降低利润水平;倘若工资税转嫁,这种负的影响将被减弱,但取决于转嫁的程度。相反,利润税不转嫁的变化通过平衡预算乘数效应,将增加利润。然而,倘若利润税发生转嫁,对利润的平衡预算乘数效应将被减弱。

3.政策含义

上述分析表明,税收对投资的影响通过两种渠道来实现,即折旧率和利润水平。这一结论具有重要的政策含义。

第一,如方程式(4)所示,所有税收的变化对利润水平都有影响,因此,税收刺激的定义应当扩展,即包括非经营性税收的影响。例如,在其他条件不变的情况下,税收制度累退性的提高(诸如增加社会保障税),将削减政府的预算赤字和企业的利润,从而会抑制投资。

如果这种额外税收是通过减少个人储蓄来支付的,那么,投资的抑制作用将被减轻。此外,如果通过减少个人储蓄来付税,股息税的增加或资本利得税的增加对利润不会有影响;而且,如果伴随著政府的基础设施购买增加或向失业人口的转移支付增加,经营利润税增加只对税后利润有很小的影响。

第二,政府在设计税收政策时必须要考虑到这些归宿效应的存在。

也就是说,在对政府的预算赤字影响最小的情况下,刺激投资,并同时实现公平目标。倘若大部分通过减少个人储蓄来付税,那么,股息税或资本利得税增加对税后利润的影响很小;而且,如果这些增加的税收收入用来为失业人口的转让筹措资金,税后公司利润可能实际上会增加,从而产生新投资。政府通过从富人到穷人的收入再分配,实际上会刺激投资而没有增加任何公债负担。

。【参考文献】:

税收归宿的宏观经济理论(Macroeconomic Theory of Tax Incidence)

税收对私人投资的影响(Effects of Tax on Private In vestment)

Auerbach, A. J., 1983, Corporate Taxation in the United States, Brookings Papers on Economic Activity 2.

Auerbach, A. J. and K. Hassett, 1990, Investment, Tax Policy and the Tax Reform Act of 1986, in J. Slemrod, ed., Do Taxes Matter? The Impact of the Tax Reform Act of 1986, MIT Press.

Auerbach, A. J. and K. Hassett, 1991, Recent U. S. Investment Behavior and the Tax Reform Act of 1986: A Disaggregate View, Elsevier Science Publishers B. V..

Auerbach, A. J. and J. R. Hines, 1988, Investment Tax Incentives and Frequent Tax Reforms, American Economic Review 78.

Crotty, J. R., 1992, Neoclassical and Keynesian Approaches to the Theory of Investment, Journal of Post Keynesian Economics 14.

DeLong, J. B. and L. H. Summers, 1992, Equipment Investment and Economics Growth: How Strong is the Nexus? Brookings Papers on Economic Activity 2.

Kalecki, M. , 1971/1968, Theory of Economic Dynamics,Monthly Review Press.

Laramie, A. J., 1991, Taxation and Kalecki' s Distribution Factors, Journal of Post Keynesian Economics 4.

Laramie, A. J. and D. Mair, 1993, The Incidence of Business Rates: A Post Keynesian Approach, Review of Political Economy 5.

Laramie, A. J., D. Mair, A. Miller, and T. Stratopoulos, 1997, The Impact of Taxation on Gross Private Nonresidential Fixed Investment in a Kaleckian Model: Some Empirical Evidence, Journal of Post Keynesian Economics 19.

随便看

 

离鸟网收录3541549条中英文词条,其功能与新华字典、现代汉语词典、牛津高阶英汉词典等各类中英文词典类似,基本涵盖了全部常用中英文字词句的读音、释义及用法,是语言学习和写作的有利工具。

 

Copyright © 2004-2024 vtrois.com All Rights Reserved
更新时间:2026/4/18 3:37:23