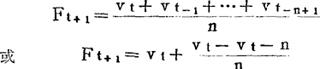
移动平均预测法
是在简单平均预测法基础上发展起来的一种方法。 这种方法是假设预测值只与近几期实际值有关,因此用近几期的实际值的平均数作为下一期的预测值,如此不断向前移动,进行预测。其计算公式为:  式中 Ft+1——下一期的预测值; Vt,Vt-1,Vt-2……Vt-n+1——临近这几 期的实际值; n—移动期数。 移动期数n取多大为好?当n取得较大时,灵敏度低,对外界波动反映慢;n取得小些,对外界波动反映快,但是容易把外界的偶然波动误认为发展趋势。 所以,n的选取是用好移动平均法的关键。 一般当需要处理的资料数据点较多,预测精度要求较高时,n可取大些,反之则选小些。移动平均预测法有一次移动、二次移动,也可以多次移动。上面是一次移动平均法。二次移动平均法就是在一次移动平均的基础上,再进行一次移动平均。 这时得到的预测数值曲线将更平稳,比一次移动更为精确些。因此二次移动平均法用得较多,计算方法完全与一次移动平均法相同。 用同样方法可进行三次、四次乃至更多的移动平均。这种方法,预测值一般落后于实际值。 这是因为它以最接近的前若干期的实际值的平均值作为预测值。这实际上是已有值的平均水平,不是未来水平,所以移动平均数反映的发展趋势往往是滞后的。移动平均法适用于具有多品种产品企业进行短期预测。 |