移动平均趋势剔除法
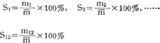
对动态数列利用移动平均法来剔除长期趋势的影响,再测定其季节变动的一种方法。 它的计算步骤为: (一)根据各年的按月资料(Y)用移动平均法求得其长期趋势值(T)。以Ti代表第i期的趋势值,i=1,2,3……。 (二)将实际数值除以趋势值即得季节比率。以公式表示为:  式中Yi代表第i期的实际数值。 (三)求出不同年的同月百分比的中位数(或平均数)。以符号表示:m1,m2,m3,……m12代表各月中位数。 (四)计算12个月别中位数的平均数,以 表示,其公式为:  (五)计算季节指数的公式为:  式中:S1,S2,……S12代表各月季节指数。 移动平均趋势剔除法最适用于长期趋势呈不规则状态的动态数列。 |