移动平均法
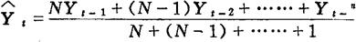
税务预测常用的一种数学预测方法。 它是根据时间数列,逐项移动计算平均值,据以作为预测的一种方法。具体又分简单移动平均法和加权移动平均法两种。简单移动平均法的具体做法是,用靠近预测期的若干期实际数值,计算出算术平均数,作为预测期的预测值。其计算公式为:  式中 t为t期预测值;Yt-1、Yt-2、Yt-n为t期以前若干期实际数值;n为预测资料期数。 加权移动平均法的具体作法是,先按距预测期的远近确定不同的权数,距预测期越近,权数越大,反之,权数越小;然后用以前若干期实际数值,计算出加权算术平均数,作为预测期的预测值。其计算公式为:  式中N表示最大的权数,等于预测资料的期数,即N=h,最小的权数为1。 简单移动平均法和加权移动平均法比较,前者计算方法简单,后者计算方法较复杂,但前者计算结果准确性相对不如后者。移动平均法适用于税务定量预测。 |