网站首页  词典首页


请输入您要查询的字词:

 

字词 移动平均数方法
类别 中英文字词句释义及详细解析
释义 移动平均数方法

根据时间数列的各期数值作出非直线趋势线的一种比较简单的方法。

是一种初级的定量预测方法,包括一次移动平均数方法、二次移动平均数方法、简单移动平均数预测方法和加权移动平均数方法等。例如用3个时期的时间长度,从第1、第2、第3个时期的数值,得出第2个时期的数值,然后从第2、第3、第4个时期的数值得出第3个时期的数值,依次进行下去。

如果时间长度为偶数时,则应再计算一次两个时期的移动平均数,使数值能对准各个时期。

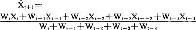
再如加权移动平均数预测法的例子。设W代表权数,则求t+1时期的预测数时,以5个时期的加权移动平均数为例,预测公式为:

在t时期计算N个时期的加权移动平均数的时候,一般的预测公式可写成:

在上述例子中,假定Wt=5,Wt-1=4,Wt-2=3,Wt-3=2,Wt-4=1,则5个时期的加权移动平均数预测公式可计算如下:

其中Xt=19,Xt-1=16,Xt-2=Xt-3=17,Xt-4=14。

在预测数受近期资料影响较大的时候,除缩短时间长度以外,还可用加权的方法达到同样的目的。

一般是给近期数值更大的权数,即时期越近越重要,所以权数就越大。

随便看

 

离鸟网收录3541549条中英文词条,其功能与新华字典、现代汉语词典、牛津高阶英汉词典等各类中英文词典类似,基本涵盖了全部常用中英文字词句的读音、释义及用法,是语言学习和写作的有利工具。

 

Copyright © 2004-2024 vtrois.com All Rights Reserved
更新时间:2026/4/21 13:54:09