网站首页  词典首页


请输入您要查询的字词:

 

字词 移动平均
类别 中英文字词句释义及详细解析
释义 移动平均

在q阶移动平均过程中,每个观察值是由随机干扰项及其滞后到q期的加权平均而产生,我们记这种过程为MA(q)。

其方程如下:

yt=μ+εt-θ1εt-1-θ2εt-2-…-θqεt-q (1)

其中参数θ1,…,θq可以是正数也可以是负数。

过程yt的平稳性要求特征方程

θ(B)=1-θ1B-θ2B2-…-θqBq=0的根必须都落在单位圆之外。

在移动平均模型中,假定随机扰动项是独立同分布,即由白噪声生成。特别地,假定每个扰动项εt是均值为0,方差为#的正态随机变量,且协方差γk=cov(εt,εt-k)=0,对任意k≠0成立。

白噪声过程的加权和却可提供非白噪声过程的很好表达。这样,过程MA(q)可由刚好q+2个参数描绘:均值μ,扰动项方差#和确定移动平均权数的参数θ1,…,θq

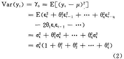
q阶移动平均过程的方差,

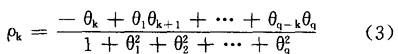
q阶移动平均过程仅有q期的记忆力,它的非零自相关系数有q个,记作ρk(k=1,…,q),由下式给出:

所以,样本自相关函数可用于确定移动平均过程的阶数(假定所关心的时间序列是由移动平均过程产生)。MA(q)的自相关函数ρk有q个非零数,当k>q时ρk为0。

随便看

 

离鸟网收录3541549条中英文词条,其功能与新华字典、现代汉语词典、牛津高阶英汉词典等各类中英文词典类似,基本涵盖了全部常用中英文字词句的读音、释义及用法,是语言学习和写作的有利工具。

 

Copyright © 2004-2024 vtrois.com All Rights Reserved
更新时间:2026/4/17 19:32:46