网站首页  词典首页


请输入您要查询的字词:

 

字词 积分方程
类别 中英文字词句释义及详细解析
释义 积分方程

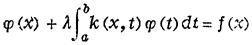
未知函数出现于积分号下的方程叫做积分方程。例如:

即为关于未知函数φ(x)的积分方程。对积分方程的研究已形成数学的一门分科,其研究范围包括:积分方程解的存在性、唯一性、求解方法以及关于它的特征值和特征函数等。

随便看

 

离鸟网收录3541549条中英文词条,其功能与新华字典、现代汉语词典、牛津高阶英汉词典等各类中英文词典类似,基本涵盖了全部常用中英文字词句的读音、释义及用法,是语言学习和写作的有利工具。

 

Copyright © 2004-2024 vtrois.com All Rights Reserved
更新时间:2026/4/17 22:36:14