网站首页  词典首页


请输入您要查询的字词:

 

字词 离散时间系列指数平滑法
类别 中英文字词句释义及详细解析
释义 离散时间系列指数平滑法

设X0,X1,X2,…,Xn为离散时间系列的观测值或给定数值,客观测值相对应的时间依次为t=0,1,2,…,n;又设S1,S2,…,Sn依次为时间t=1,2,…,n时各观测值的修匀值(或平滑值)。

如果各个修匀值St是利用下式求得:

St=Xt1+α(Xt-Xt-1),t=1,2,…,n

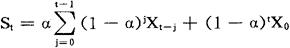
则此求一系列St值的方法称为离散时间系列指数平滑法,所得各St值称为指数平滑平均数。上式中的α是介于0与1之间的常数,称为平滑常数。经推导上式可成如下形式:

上式表明,St,是Xt,Xt-1,Xt-2,…,X1,X0的加权平均数,其权数分别为α,α(1-α),α(1-α)2,…,α(1-α)t-1,(1-α)t。因此指数平滑法实际上是一种特殊的加权平均法。

由于这种特殊权数均呈j的指数函数形式,且此平均法具有修匀或平滑一系列观测值或给定数列之功能,故得指数平滑法之名称。

指数平滑平均数St具有以下性质:

(1)St是时间为t及t以前所有观测值的线性组合,自第一项开始的t项系数成等比级数递增,该等比级数与末项系数之和等于1;

(2)除X0外,愈早观测值所对应的权数愈小;

(3)考虑时间系列延伸到无穷大的情况,并把任何时刻之观测值看成离散随机变量X时,则St的期望值E(St)等于观测值Xt的期望值,即E(X)=E(St)

随便看

 

离鸟网收录3541549条中英文词条,其功能与新华字典、现代汉语词典、牛津高阶英汉词典等各类中英文词典类似,基本涵盖了全部常用中英文字词句的读音、释义及用法,是语言学习和写作的有利工具。

 

Copyright © 2004-2024 vtrois.com All Rights Reserved
更新时间:2026/4/20 14:28:14