网站首页  词典首页


请输入您要查询的字词:

 

字词 离心泵的选择计算及实例
类别 中英文字词句释义及详细解析
释义 离心泵的选择计算及实例

[说明]选择泵的主要依据是流量和扬程以及所输送物体的性质(水、浆料、酸液、碱液等等),根据实际生产中所需要的流量和计算的扬程(计算方法见前),就可以确定其类型和型号。现举例说明。

[例1]要用泵将水送到15m高处,流量为80m3/h,在此流量下管路的压头损失为3m,试在下例三个型号的B型水泵中,选定合适的一台(见表2-5-41)。

表2-5-41 三种B型泵的性能

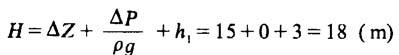
解:流量为80m3/h下流过管路所需要的扬程为(见式2-5-86):

将给出的流量和计算出的扬程与表2-5-41中所列的各型号泵的性能参数对照如下:

4B35A型泵,当流量在80m3/h时,扬程在31.6m至28.6m之间,这比所需的15m大,故此型号嫌过大;4B20泵,流量在80m3/h时,扬程在22.6m与20m之间,比所需的数值略大;4B20A泵,流量在80m3/h时的压头只有15.2m,不能满足需要。

根据上面比较的结果,得知选用4B20型水泵比较合适。

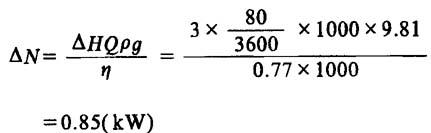
[例2]求上例中所选用的4B20型水泵在实际操作时的轴功率是多少?因所选泵比要求的略大,试估计消耗于阀门节流的功率是多少?

解:根据表2-5-41中得知,4B20型离心泵的特性曲线Q=80m3/h时,扬程H=21m,轴功率N=6kW,效率η=77%;由于所选用的泵稍大,上述操作是依靠调节阀的开度来调节流量为80m3/h,若管路要求扬程只需18m,而泵的扬程为21m,多出的3m是克服阀门的阻力,因而多耗的轴功率为:

随便看

 

离鸟网收录3541549条中英文词条,其功能与新华字典、现代汉语词典、牛津高阶英汉词典等各类中英文词典类似,基本涵盖了全部常用中英文字词句的读音、释义及用法,是语言学习和写作的有利工具。

 

Copyright © 2004-2024 vtrois.com All Rights Reserved
更新时间:2026/4/18 4:01:00