网站首页  词典首页


请输入您要查询的字词:

 

字词 离心泵扬程的测定计算
类别 中英文字词句释义及详细解析
释义 离心泵扬程的测定计算

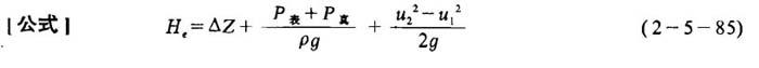
[说明]泵的扬程就是液体进泵前和出泵后的总压头差。离心泵的扬程与其结构尺寸(主要是叶轮直径)以及转速有关。但理论计算比较因难,所以,泵的扬程靠实验测定,其测定的原理如图2-5-41所示。

式中 He——扬程(m)

ΔZ——出口与入口的高度差(m)

P——泵的出口处表压(Pa)

P——泵的入口真空度(Pa)

ρ——液体的容重(kg/m3)

u1.u2——入口和出口流速(m/s)

随便看

 

离鸟网收录3541549条中英文词条,其功能与新华字典、现代汉语词典、牛津高阶英汉词典等各类中英文词典类似,基本涵盖了全部常用中英文字词句的读音、释义及用法,是语言学习和写作的有利工具。

 

Copyright © 2004-2024 vtrois.com All Rights Reserved
更新时间:2026/4/17 22:51:31