网站首页  词典首页


请输入您要查询的字词:

 

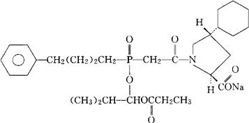
字词 福辛普利钠
类别 中英文字词句释义及详细解析
释义 福辛普利钠

C30H45NNaO7P=585.65

CAS-88889-14-9

CAS-97825-24-6(fosinopril)

反式-4-环己基-1-[[[(2-甲基-1-(1-氧代丙氧)丙氧基](4-苯丁基)次膦酰]乙酰]-L-脯氨酸,钠盐。

trans-4-Cyclohexyl-1-[[[2-methyl-1-(1-oxopropoxy)propoxy](4-phenylbutyl)phosphinyl]acetyl]-L-proline,sodium salt.

(4S)-4-环己基-1-[[(R)-[(S)-1-羟-2-甲基丙氧](4-苯丁基)次膦酰]乙酰]-L-脯氨酸丙酸(酯)钠盐。

(4S)-4-Cyclohexyl-1-[[(R)-[(S)-1-hydroxy-2-methylpropoxy](4-phenylbutyl)phosphinyl]acetyl]-L-proline propionate(ester),sodium salt.

抗高血压药,酶抑制药。

Fosinopril Sodium,SQ 28555,Monopril.

INN,BAN,USAN.

随便看

 

离鸟网收录3541549条中英文词条,其功能与新华字典、现代汉语词典、牛津高阶英汉词典等各类中英文词典类似,基本涵盖了全部常用中英文字词句的读音、释义及用法,是语言学习和写作的有利工具。

 

Copyright © 2004-2024 vtrois.com All Rights Reserved
更新时间:2026/4/19 11:29:53