网站首页  词典首页


请输入您要查询的字词:

 

字词 福莫特罗
类别 中英文字词句释义及详细解析
释义 福莫特罗

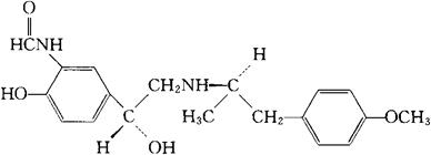
C19H24N2O4=344.41

CAS-73573-87-2

(±)-2′-羟-5′-[(RS)-1-羟-[[(RS)-对-甲氧-α-甲基-苯-乙基]氨基]乙基]甲酰苯胺。

(±)-2′-Hydroxy-5′-[(RS)-1-hydroxy-[[(RS)-pmethoxy-α-methylphenethyl]amino]ethyl]formanilide.

支气管扩张药。用于平喘。

福莫特若。

Formoterol,CGP 25827ACGP-25827A-E.

INN,USAN.

随便看

 

离鸟网收录3541549条中英文词条,其功能与新华字典、现代汉语词典、牛津高阶英汉词典等各类中英文词典类似,基本涵盖了全部常用中英文字词句的读音、释义及用法,是语言学习和写作的有利工具。

 

Copyright © 2004-2024 vtrois.com All Rights Reserved
更新时间:2026/4/18 17:47:57