网站首页  词典首页


请输入您要查询的字词:

 

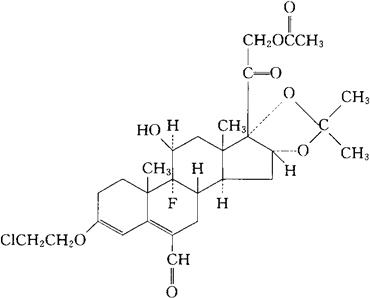
字词 福莫可他
类别 中英文字词句释义及详细解析
释义 福莫可他

C29H38ClFO8=569.07

CAS-2825-60-7

(11β,16α)-21-(乙酰氧)-3(2-氯乙氧)-9-氟-11-羟-16,17-[(1-甲基亚乙基)双(氧)]-20-氧代,孕甾-3,5-二烯-6-甲醛。

(11β,16α)-21-(Acetyloxy)-3-(2-chloroethoxy)9-fluoro-11-hydroxy-16,17-[(1-methylethylidene)bis(oxy)]-20-oxopregna-3,5-diene-6-carboxaldehyde.

3(2-氯乙氧)-9-氟-11β,16,17,21-四羟-20-氧代孕甾-3,5-二烯-6-甲醛,与丙酮形成环16,17-乙缩醛,21乙酸酯。

3(2-Chloroethoxy)-9-fluoro-11β,16,17,21-tetrahydroxy-20-oxopregna-3,5-diene-6-carboxaldehyde,cyclic 16,17-acetal wilh acetone,21-acetate.

消炎药,类肾上腺皮质激素类药。

Formocortal,Cortocin F,Cutisterol,Deflamene,Dermacort,Fluderma,Fluformilone,Fluroformylon,Formocortol,Formoftil,FI 6341.

INN,BAN,JAN,USAN.

随便看

 

离鸟网收录3541549条中英文词条,其功能与新华字典、现代汉语词典、牛津高阶英汉词典等各类中英文词典类似,基本涵盖了全部常用中英文字词句的读音、释义及用法,是语言学习和写作的有利工具。

 

Copyright © 2004-2024 vtrois.com All Rights Reserved
更新时间:2026/4/18 15:48:00