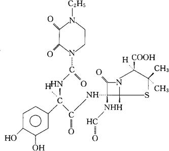
福米西林
C24H28N6O10S=592.58 CAS-98048-07-8 (2S,5R,6R)-6-[(R)-2-(3,4-二羟苯基)-2-(4-乙基-2,3-二氧代-1-哌嗪甲酰胺基)乙酰胺基]-6-甲酰胺基-3,3-二甲基-7-氧代-4-噻-1-氮杂双环[3.2.0]庚烷-2-羧酸。 (2S,5R,6R)-6-[(R)-2-(3,4-Dihydroxyphenyl)-2-(4-ethyl-2,3--dioxo-1-piperzinecarbotamido)acetamido]-6-formamido-3,3-dimethyl-7-oxo-4-thia-1-azabicyclo[3.2.0]heptane-2-carboxylic acid. 抗生素类药。主要用钠盐。 Fomidacillin,Formidacillin. INN,BAN,USAN. 
|