网站首页  词典首页


请输入您要查询的字词:

 

字词 磺苄西林[中]
类别 中英文字词句释义及详细解析
释义 磺苄西林[中]

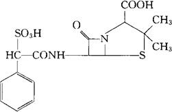
C16H18N2O7S=414.45

CAS-34779-28-7

3,3-二甲基-7-氧-6-(2-苯基-2-磺乙酰胺基)-4-硫杂1-氮杂双环[3.2.0]庚烷-2-羧酸。

3,3-Dimethyl-7-oxo-6-(2-phenyl-2-sulfoacetamido)-4-thia-1-azabicyclo[3.2.0]heptane-2-carboxylic acid.

抗生素类药。用于溶血性链球菌、肺炎球菌、绿脓杆菌及大肠杆菌等引起的感染。

α-磺苄基青霉素,α-磺酸基苄基青霉素。

Sulbenicillin(e),Sulfocillin,α-Sulfobenzylpeniclllin.

INN,DCIT,JP,NFN,USAN,MI.

随便看

 

离鸟网收录3541549条中英文词条,其功能与新华字典、现代汉语词典、牛津高阶英汉词典等各类中英文词典类似,基本涵盖了全部常用中英文字词句的读音、释义及用法,是语言学习和写作的有利工具。

 

Copyright © 2004-2024 vtrois.com All Rights Reserved
更新时间:2026/4/17 19:44:02