网站首页  词典首页


请输入您要查询的字词:

 

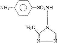
字词 磺胺甲二唑
类别 中英文字词句释义及详细解析
释义 磺胺甲二唑

C9H10N4O2S2=270.32

CAS-144-82-1

4-氨基-N-(5-甲基-1,3,4-噻二唑-2基)苯磺酰胺。

4-Amino-N-(5-methyl-1,3,4-thiadiazol-2-yl)benzenesulfonamide.

N1-(5-甲基1,3,4-噻二唑-2-基)氨苯磺酰胺。

N1-(5-Methyl-1,3,4-thiadiazol-2-yl)sulfanilamide.

磺胺类药。

Sulfamethiazole.

INN,BAN(Sulphamethiazole),BP,DCF,DCIT,EP,JP,USAN,USP.

随便看

 

离鸟网收录3541549条中英文词条,其功能与新华字典、现代汉语词典、牛津高阶英汉词典等各类中英文词典类似,基本涵盖了全部常用中英文字词句的读音、释义及用法,是语言学习和写作的有利工具。

 

Copyright © 2004-2024 vtrois.com All Rights Reserved
更新时间:2026/4/18 0:49:53