网站首页  词典首页


请输入您要查询的字词:

 

字词 磺塞米
类别 中英文字词句释义及详细解析
释义 磺塞米

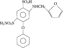
C17H16N2O7S2=424.44

CAS-82666-62-4

2-(糠氨基)-4-苯氧-5-氨磺酰苯磺酸。

2-(Furfurylamino)-4-phenoxy-5-sulfamoylbenzene sulfonic acid.

5-(氨磺酰)-2-[(2-呋喃甲基)氨基]-4-苯氧基苯磺酸。

5-(Aminosulfonyl)-2-[(2-furanylmethyl)amino]-4-phenoxybenzenesulfonic acid.

利尿药。

苏罗酰胺。

Sulosemide.

INN,USAN.

随便看

 

离鸟网收录3541549条中英文词条,其功能与新华字典、现代汉语词典、牛津高阶英汉词典等各类中英文词典类似,基本涵盖了全部常用中英文字词句的读音、释义及用法,是语言学习和写作的有利工具。

 

Copyright © 2004-2024 vtrois.com All Rights Reserved
更新时间:2026/4/17 23:03:11