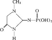
磷酸肌酐
C4H8N3O4P=193.10 CAS-5786-71-0 (1-甲基-4-氧代-2-咪唑烷亚基)氨基磷酸。 (1-Methyl-4-oxo-2-imidazolidinylidene)phosphoramidic acid. (4,5-二氢-1-甲基-4-氧代-1H-咪唑-2-基)氨基磷酸。 (4,5-Dihydro-1-methyl-4-oxo-1H-imidazol-2-yl)-phosphoramidic acid. 心肌病辅助药,强壮药。 Fosfocreatinine INN,USAN.  |